Economic analysis of climate change
This article contains one or more duplicated citations. (September 2025) |
This is Wikipedia's current article for improvement – and you can help edit it! You can discuss how to improve it on its talk page and ask questions at the help desk or Teahouse. See the cheatsheet, tutorial, editing help and FAQ for additional information. Editors are encouraged to create a Wikipedia account and place this article on their watchlist.
Find sources: "Economic analysis of climate change" – news · newspapers · books · scholar · JSTOR |

An economic analysis of climate change uses economic tools and models to calculate the magnitude and distribution of damages caused by climate change. It can also give guidance for the best policies for mitigation and adaptation to climate change from an economic perspective. There are many economic models and frameworks. For example, in a cost–benefit analysis, the trade offs between climate change impacts, adaptation, and mitigation are made explicit. For this kind of analysis, integrated assessment models (IAMs) are useful. Those models link main features of society and economy with the biosphere and atmosphere into one modelling framework.[2] The total economic impacts from climate change are difficult to estimate. In general, they increase the more the global surface temperature increases (see climate change scenarios).[3]
Many effects of climate change are linked to market transactions and therefore directly affect metrics like GDP or inflation.[4]: 936–941 However, there are also non-market impacts which are harder to translate into economic costs.[5] These include the impacts of climate change on human health, biomes and ecosystem services. Economic analysis of climate change is challenging as climate change is a long-term problem. Furthermore, there is still a lot of uncertainty about the exact impacts of climate change and the associated damages to be expected. Future policy responses and socioeconomic development are also uncertain.[6]
Economic analysis also looks at the economics of climate change mitigation and the cost of climate adaptation. Mitigation costs will vary according to how and when emissions are cut. Early, well-planned action will minimize the costs.[7] Globally, the benefits and co-benefits of keeping warming under 2 °C exceed the costs.[8] Cost estimates for mitigation for specific regions depend on the quantity of emissions allowed for that region in future, as well as the timing of interventions.[9]: 90 Economists estimate the incremental cost of climate change mitigation at less than 1% of GDP.[10] The costs of planning, preparing for, facilitating and implementing adaptation are also difficult to estimate, depending on different factors. Across all developing countries, they have been estimated to be about USD 215 billion per year up to 2030, and are expected to be higher in the following years.[11]: 35–36
Purposes
[edit]Economic analysis of climate change is an umbrella term for a range of investigations into the economic costs around the effects of climate change, and for preventing or softening those effects. These investigations can serve any of the following purposes:[12]: 2495
- estimating the potential global aggregate economic costs of climate change (i.e. global climate damages)
- estimating sectoral or regional economic costs of climate change (e.g. costs to agriculture sector or energy services)
- estimating economic costs of facilitating and implementing climate change mitigation and adaptation strategies (varying with the objectives and the levels of action required); see also economics of climate change mitigation.
- monetising the projected impacts to society per additional metric tonne of carbon emissions (social cost of carbon)
- informing decisions about global climate management strategy (through UN institutions) or policy decisions in some countries
The economic impacts of climate change also include any mitigation (for example, limiting the global average temperature below 2 °C) or adaption (for example, building flood defences) employed by nations or groups of nations, which might infer economic consequences.[13][14][15] They also take into account that some regions or sectors benefit from low levels of warming, for example through lower energy demand or agricultural advantages in some markets.[12]: 2496 [16]: 11
There are wider policy considerations of interest. For example, in some areas, policies designed to mitigate climate change may contribute positively towards other sustainable development objectives, such as abolishing fossil fuel subsidies which would reduce air pollution and thus save lives.[17][18][19] Direct global fossil fuel subsidies reached $319 billion in 2017, and $5.2 trillion when indirect costs such as air pollution are priced in.[20] In other areas, the cost of climate change mitigation may divert resources away from other socially and environmentally beneficial investments (the opportunity costs of climate change policy).[17][18]
Types of economic models
[edit]Many economic tools are employed to understand the economic aspects around impacts of climate change, climate change mitigation and adaptation. Several sets of tools or approaches exist. Econometric models (statistical models) are used to integrate the broad impacts of climate change with other economic drivers, to quantify the economic costs and assess the value of climate-related policies, often for a specific sector or region. Structural economic models look at market and non-market impacts affecting the whole economy through its inputs and outputs. Process models simulate physical, chemical and biological processes under climate change, and the economic effects.[12]: 2495
Process-based models
[edit]
Intergovernmental Panel on Climate Change (IPCC) has relied on process-based integrated assessment models (PB-IAM[22]) to quantify mitigation scenarios.[23][24] They have been used to explore different pathways for staying within climate policy targets such as the 1.5 °C target agreed upon in the Paris Agreement.[25] Moreover, these models have underpinned research including energy policy assessment[26] and simulate the Shared socioeconomic pathways.[27][28] Notable modelling frameworks include IMAGE,[29] MESSAGEix,[30] AIM/GCE,[31] GCAM,[32] REMIND-MAgPIE,[33][34] and WITCH-GLOBIOM.[35][36] While these scenarios are highly policy-relevant, interpretation of the scenarios should be done with care.[37]
Non-equilibrium models include[38] those based on econometric equations and evolutionary economics (such as E3ME),[39] and agent-based models (such as the agent-based DSK-model).[40] These models typically do not assume rational and representative agents, nor market equilibrium in the long term.[38]Structural models
[edit]Computable general equilibrium models
[edit]Computable general equilibrium (CGE) models are a class of economic models that use actual economic data to estimate how an economy might react to changes in policy, technology or other external factors. CGE models are also referred to as AGE (applied general equilibrium) models. A CGE model consists of equations describing model variables and a database (usually very detailed) consistent with these model equations. The equations tend to be neoclassical in spirit, often assuming cost-minimizing behaviour by producers, average-cost pricing, and household demands based on optimizing behaviour.
CGE models are useful whenever we wish to estimate the effect of changes in one part of the economy upon the rest. They have been used widely to analyse trade policy. More recently, CGE has been a popular way to estimate the economic effects of measures to reduce greenhouse gas emissions.Aggregate cost-benefit models
[edit]Integrated assessment models (IAMs) are also used to make aggregate estimates of the costs of climate change. These (cost-benefit) models balance the economic implications of mitigation and climate damages to identify the pathway of emissions reductions that will maximize total economic welfare.[41] In other words, the trade-offs between climate change impacts, adaptation, and mitigation are made explicit. The costs of each policy and the outcomes modelled are converted into monetary estimates.
The models incorporate aspects of the natural, social, and economic sciences in a highly aggregated way. Compared to other climate-economy models (including process-based IAMs), they do not have the structural detail necessary to model interactions with energy systems, land-use etc. and their economic implications.[41]
Statistical (econometric) methods
[edit]A more recent modelling approach uses empirical, statistical methods to investigate how the economy is affected by weather variation.[12]: 2495 [42]: 755 This approach can cause identify effects of temperature, rainfall and other climate variables on agriculture, energy demand, industry and other economic activity. Panel data are used giving weather variation over time and spatial areas, eg. ground station observations or (interpolated) gridded data. These are typically aggregated for economic analysis eg. to investigate effects on national economies.[42] These studies examine temperature and rainfall, and events such as droughts and windstorms. They show that for example, hot years are linked to lower income growth in poor countries, and low rainfall is linked to reduced incomes in Africa.[42]: 755 Other econometric studies show that there are negative impacts of hotter temperatures on agricultural output, and on labour productivity in factories, call centres and in outdoor industries such as mining and forestry. The analyses are used to estimate the costs of climate change in the future.
Analytical frameworks
[edit]Cost–benefit analysis
[edit]Standard cost–benefit analysis (CBA) has been applied to the problem of climate change. In a CBA framework, the negative and positive impacts associated with a given action are converted into monetary estimates.[43] This is also referred to as a monetized cost–benefit framework. Various types of model can provide information for CBA, including energy-economy-environment models (process models) that study energy systems and their transitions. Some of these models may include a physical model of the climate. Computable General Equilibrium (CGE) structural models investigate effects of policies (including climate policies) on economic growth, trade, employment, and public revenues. However, most CBA analyses are produced using aggregate integrated assessment models. These aggregate-type IAMs are particularly designed for doing CBA of climate change.[44]: 428 [45]: 238–239
The CBA framework requires (1) the valuation of costs and benefits using willingness to pay (WTP) or willingness to accept (WTA) compensation[46][47][48][49] as a measure of value,[50] and (2) a criterion for accepting or rejecting proposals:[50]
For (1), in CBA where WTP/WTA is used, climate change impacts are aggregated into a monetary value,[46] with environmental impacts converted into consumption equivalents,[51] and risk accounted for using certainty equivalents.[51][52] Values over time are then discounted to produce their equivalent present values.[53] The valuation of costs and benefits of climate change can be controversial[4]: 936–938 because some climate change impacts are difficult to assign a value to, e.g., ecosystems and human health.[54][55]
For (2), the standard criterion is the Kaldor–Hicks[56]: 3 compensation principle.[50] According to the compensation principle, so long as those benefiting from a particular project compensate the losers, and there is still something left over, then the result is an unambiguous gain in welfare.[50] If there are no mechanisms allowing compensation to be paid, then it is necessary to assign weights to particular individuals.[50] One of the mechanisms for compensation is impossible for this problem: mitigation might benefit future generations at the expense of current generations, but there is no way that future generations can compensate current generations for the costs of mitigation.[56]: 4 On the other hand, should future generations bear most of the costs of climate change, compensation to them would not be possible.[57]
CBA has several strengths: it offers an internally consistent and global comprehensive analysis of impacts.[4]: 955 Furthermore, sensitivity analysis allows critical assumptions in CBA analysis to be changed. This can identify areas where the value of information is highest and where additional research might have the highest payoffs.[58]: 119 However, there are many uncertainties that affect cost–benefit analysis, for example, sector- and country-specific damage functions.[59]: 654
Damage functions
[edit]
Damage functions play an important role in estimating the costs associated with potential damages caused by climate related hazards. They quantify the relationship between the intensity of the hazard, other factors such as the vulnerability of the system, and the resulting damages. For example, damage functions have been developed for sea level rise, agricultural productivity, or heat effects on labour productivity.[60] In a CBA framework, damages are monetized to facilitate comparison with the benefits of proposed actions or policies. Sensitivity analysis is conducted to assess the robustness of the results to changes in assumptions and parameters, including those of the damage function.
Cost-effectiveness analysis
[edit]Cost-Effectiveness Analysis (CEA) is preferable to CBA when the benefits of impacts, adaptation and mitigation are difficult to estimate in monetary terms. A CEA can be used to compare different policy options for achieving a well-defined goal.[45]: 238 This goal (i.e. the benefit) is usually expressed as the amount of GHG emissions reduction in the analysis of mitigation measures. For adaptation measures, there is no common goal or metric for the economic benefits. Adaptation involves responding to different types of risks in different sectors and local contexts. For example, the goal might be the reduction of land area in hectares at risk to sea level rise.[61]: 2
CEA involves the costing of each option, providing a cost per unit of effectiveness. For example, cost per tone of GHG reduced ($/tCO2). This allows the ranking of policy options. This ranking can help decision-maker to understand which are the most cost-effective options, i.e. those that deliver high benefits for low costs. CEA can be used for minimising net costs for achieving pre-defined policy targets, such as meeting an emissions reduction target for a given sector.[45]: 238 [61]: 2–3
CEA, like CBA, is a type of decision analysis method. Many of these methods work well when different stakeholders work together on a problem to understand and manage risks.[62]: 2543 For example, by discussing how well certain options might work in the real world. Or by helping in measuring the costs and benefits as part of a CEA.[62]: 2566, 2576
Some authors have focused on a disaggregated analysis of climate change impacts.[63]: 23 [64] "Disaggregated" refers to the choice to assess impacts in a variety of indicators or units, e.g., changes in agricultural yields and loss of biodiversity. By contrast, monetized CBA converts all impacts into a common unit (money), which is used to assess changes in social welfare.

Scenario-based assessments
[edit]The long time scales and uncertainty when it comes to global warming have led analysts to develop "scenarios" of future environmental, social and economic changes.[66] These scenarios can help governments understand the potential consequences of their decisions.
The projected temperature in climate change scenarios is subject to scientific uncertainty (e.g., the relationship between concentrations of GHGs and global mean temperature, which is called the climate sensitivity). Projections of future atmospheric concentrations based on emission pathways are also affected by scientific uncertainties, e.g., over how carbon sinks, such as forests, will be affected by future climate change.
One of the economic aspects of climate change is producing scenarios of future economic development. Future economic developments can, for example, affect how vulnerable society is to future climate change,[67] what the future impacts of climate change might be, as well as the level of future GHG emissions.[68]
Scenarios are neither "predictions" nor "forecasts" but are stories of possible futures that provide alternate outcomes relevant to a decision-maker or other user.[62]: 2576 These alternatives usually also include a "baseline" or reference scenario for comparison. "Business-as-usual" scenarios have been developed in which there are no additional policies beyond those currently in place, and socio-economic development is consistent with recent trends. This term is now used less frequently than in the past.[43]
In scenario analysis, scenarios are developed that are based on differing assumptions of future development patterns.[66] An example of this are the shared socioeconomic pathways produced by the Intergovernmental Panel on Climate Change (IPCC). These project a wide range of possible future emissions levels.
Scenarios often support sector-specific analysis of the physical effects and economic costs of climate change. Scenarios are used with cost–benefit analysis or cost-effectiveness analysis of climate policies.
Risk management
[edit]Risk management can be used to evaluate policy decisions based a range of criteria or viewpoints, and is not restricted to the results of particular type of analysis, e.g., monetized CBA.[69]: 42 Another approach is that of uncertainty analysis,[66] where analysts attempt to estimate the probability of future changes in emission levels.
In a cost benefit analysis, an acceptable risk means that the benefits of a climate policy outweighs the costs of the policy.[70] The standard rule used by public and private decision makers is that a risk will be acceptable if the expected net present value is positive.[70] The expected value is the mean of the distribution of expected outcomes.[71]: 25 In other words, it is the average expected outcome for a particular decision. This criterion has been justified on the basis that:
- a policy's benefits and costs have known probabilities[70]
- economic agents (people and organizations) can diversify their own risk through insurance and other markets.[70]
On the second point, it has been suggested that insurance could be bought against climate change risks.[70] Policymakers and investors are beginning to recognize the implications of climate change for the financial sector, from both physical risks (damage to property, infrastructure, and land) and transition risk due to changes in policy, technology, and consumer and market behavior. Financial institutions are becoming increasingly aware of the need to incorporate the economics of low carbon emissions into business models.[72]
In the scientific literature, there is sometimes a focus on "best estimate" or "likely" values of climate sensitivity.[73] However, from a risk management perspective, values outside of "likely" ranges are relevant, because, though these values are less probable, they could be associated with more severe climate impacts[74] (the statistical definition of risk = probability of an impact × magnitude of the impact).[75]: 208
Analysts have also looked at how uncertainty over climate sensitivity affects economic estimates of climate change impacts.[76] Policy guidance from cost-benefit analysis (CBA) can be extremely divergent depending on the assumptions employed.[77] Hassler et al use integrated assessment modeling to examine a range of estimates and what happens at extremes.[78]
Iterative risk management
[edit]Two related ways of thinking about the problem of climate change decision making in the presence of uncertainty are iterative risk management[79][75] and sequential decision making.[80]: 612–614 Considerations in a risk-based approach might include, for example, the potential for low-probability, worst-case climate change impacts.[81] One of the responses to the uncertainties of global warming is to adopt a strategy of sequential decision making.[82] Sequential decision making refers to the process in which the decision maker makes consecutive observations of the process before making a final decision.[83] This strategy recognizes that decisions on global warming need to be made with incomplete information, and that decisions in the near term will have potentially long-term impacts. Governments may use risk management as part of their policy response to global warming.[84][75]: 203
An approach based on sequential decision making recognizes that, over time, decisions related to climate change can be revised in the light of improved information.[82] This is particularly important with respect to climate change, due to the long-term nature of the problem. A near-term hedging strategy concerned with reducing future climate impacts might favor stringent, near-term emissions reductions.[80] As stated earlier, carbon dioxide accumulates in the atmosphere, and to stabilize the atmospheric concentration of CO2, emissions would need to be drastically reduced from their present level. Stringent near-term emissions reductions allow for greater future flexibility with regard to a low stabilization target, e.g., 450 parts per million (ppm) CO2. To put it differently, stringent near-term emissions abatement can be seen as having an option value in allowing for lower, long-term stabilization targets. This option may be lost if near-term emissions abatement is less stringent.[85]
On the other hand, a view may be taken that points to the benefits of improved information over time. This may suggest an approach where near term emissions abatement is more modest.[86] Another way of viewing the problem is to look at the potential irreversibility of future climate change impacts (e.g., damages to biomes and ecosystems) against the irreversibility of making investments in efforts to reduce emissions.[82]
Portfolio analysis
[edit]An example of a framework that is based on risk management is portfolio analysis. This approach is based on portfolio theory, originally applied in the areas of finance and investment. It has also been applied to the analysis of climate change.[87][88] The idea is that a reasonable response to uncertainty is to invest in a wide portfolio of options. More specifically, the aim is to minimise the variance and co-variance of the performance of investments in the portfolio. In the case of climate change mitigation, performance is measured by how much GHG emissions reduction is achieved. On the other hand, climate change adaptation acts as insurance against the chance that unfavourable impacts occur.[89] The performance of adaptation options could either be defined in economic terms, e.g. revenue, or as physical metrics, e.g. the quantity of water conserved.[87]
It is important to compare alternative portfolios of options across different future climate change scenarios in order to take into account uncertainty in climate impacts, GHG emission trends etc. The options should ideally be diversified to be effective in different scenarios: i.e. some options suited for a no/low climate change scenario, with other options being suited for scenarios with severe climate changes.[88]
Investment and financial flows
[edit]Investment and financial flow (I&FF) studies typically consider how much it might cost to increase the resilience of future investments or financial flows.[90] They also investigate the potential sources of investment funds and the types of financing entities or actors. Aggregated studies assess the sensitivity of future investments, estimating the risk from climate change and estimating the additional investment needed to increase resilience. More detailed studies undertake investment and financial flow analysis at a sectoral level to provide detailed costing of the additional marginal costs needed for building resilience.[90]
Costs of impacts of climate change
[edit]At the global level (aggregate costs)
[edit]


Global aggregate costs sum up the predicted impacts of climate change across all market sectors (e.g. including costs to agriculture, energy services and tourism) and can also include non-market impacts (e.g. on ecosystems and human health) for which it is possible to assign monetary values.[12]: 2495 A study in 2024 projected that by 2050, climate change will reduce average global incomes by likely 19% (confidence interval 11–29%), relative to a counterfactual where no climate change occurs. The global economy and per capita income would still grow relative to present, but the global annual damages would reach about $38 trillion (in 2005 International dollars) by 2050, and increase a lot further under high emissions. In comparison, limiting global warming to 2 °C would by 2050 cost about $6 trillion per year, or far less than the anticipated annual damages, emphasizing the economic benefits of proactive climate mitigation.[1][94]
Another study, which checked the data from the last 120 years, found that climate change has already reduced welfare by 29% and further temperature rise will bring this number to 47%. The temperature rise during the years 1960–2019 alone has already cut current GDP per capita by 18%. A rise by 1 degree in global temperature reduces global GDP by 12%. An increase of 3 degrees by 2100, will reduce capital by 50%. The effects are like experiencing the 1929 Great Depression permanently. The appropriate social cost of carbon is 1065 dollars per tonne of CO2.[95][96]
Global estimates are often based on an aggregation of independent sector and/or regional studies and results, with complex interactions modeled. For example, there is uncertainty in how physical and natural systems may respond to climate change. Potential socioeconomic changes, including how human societies might mitigate and adapt to climate change also need consideration.[12]: 2496 The uncertainty and complexities associated with climate change and have led analysts to develop "scenarios" with which they can explore different possibilities.
Global warming has a continuously negative economic impact, with poorer countries being much more vulnerable than wealthier ones, according to a 2022 meta-analysis by economist Richard S. J. Tol. Additionally, the study pointed out that estimations had a large confidence interval, suggesting that uncertainty was biased towards unfavorable surprises.[97]
Global economic losses due to extreme weather, climate and water events are increasing. Costs have increased sevenfold from the 1970s to the 2010s.[98]: 16 Direct losses from disasters have averaged above US$330 billion annually between 2015 and 2021.[99]: 21 Climate change has contributed to the increased probability and magnitude of extreme events. When a vulnerable community is exposed to extreme climate or weather events, disasters can occur. Socio-economic factors have contributed to the observed trend of global disaster losses, such as population growth and increased wealth.[100] This shows that increased exposure is the most important driver of losses. However, part of these are also due to human-induced climate change. Extreme event attribution quantifies how climate change is altering the probability and magnitude of extreme events. On a case-by-case basis, it is feasible to estimate how the magnitude and/or probability of the extreme event has shifted due to climate change. These attributable changes have been identified for many individual extreme heat events and rainfall events.[101]: 1611 [102] Using all available data on attributable changes, one study estimated the global losses to average US$143 billion per year between 2000 and 2019. This includes a statistical loss of life value of 90 billion and economic damages of 53 billion per year.[102]
Estimates of the economic impacts from climate change in future years are most often measured as percent global GDP change, relative to GDP without additional climate change.[12]: 2495 The 2022 IPCC report compared the latest estimates of many modelling and meta-analysis studies. It found wide variety in the results. These vary depending on the assumptions used in the IPCC socioeconomic scenarios. The same set of scenarios are used in all of the climate models.
Estimates are found to increase non linearly with global average temperature change. Global temperature change projection ranges (corresponding to each cost estimate) are based on IPCC assessment on the physical science in the same report. It finds that with high warming (~4 °C) and low adaptation, annual global GDP might be reduced by 10–23% by 2100 because of climate change. The same assessment finds smaller GDP changes with reductions of 1–8%, assuming low warming, more adaptation, and using different models.[12]: 2459 These global economic cost estimates do not take into account impacts on social well-being or welfare or distributional effects.[12]: 2495 Nor do they fully consider climate change adaptation responses.
One 2020 study estimated economic losses due to climate change could be between 127 and 616 trillion dollars extra until 2100 with current commitments, compared to 1.5 °C or well below 2 °C compatible action. Failure to implement current commitments raises economic losses to 150–792 trillion dollars until 2100.[103]
Economic impacts also include inflation from rising insurance premiums,[104][105] energy costs and food prices.[104][106][107]
High emissions scenarios
[edit]The total economic impacts from climate change increase for higher temperature changes.[3] For instance, total damages are estimated to be 90% less if global warming is limited to 1.5 °C compared to 3.66 °C, a warming level chosen to represent no mitigation.[108] In an Oxford Economics study high emission scenario, a temperature rise of 2 degrees by the year 2050 would reduce global GDP by 2.5–7.5%. By the year 2100 in this case, the temperature would rise by 4 degrees, which could reduce the global GDP by 30% in the worst case.[109]
One 2018 study found that potential global economic gains if countries implement mitigation strategies to comply with the 2 °C target set at the Paris Agreement are in the vicinity of US$17 trillion per year up to 2100, compared to a very high emission scenario.[110]
Underestimation of economic impacts
[edit]
Studies in 2019 suggested that economic damages due to climate change have been underestimated, and may be severe, with the probability of disastrous tail-risk events.[112][113]
Tipping points are critical thresholds that, when crossed, lead to large, accelerating and often irreversible changes in the climate system. The science of tipping points is complex and there is great uncertainty as to how they might unfold.[114] Economic analyses often exclude the potential effect of tipping points. A 2018 study noted that the global economic impact is underestimated by a factor of two to eight, when tipping points are excluded from consideration.[108]
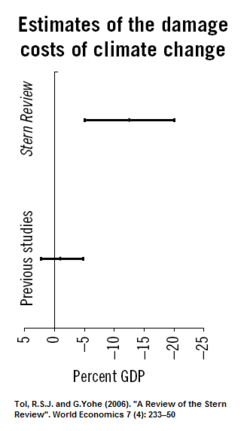
The Stern Review from 2006 for the British Government predicted that world GDP would be reduced by several percent due to climate related costs. However, their calculations may omit ecological effects that are difficult to quantify economically (such as human deaths or loss of biodiversity) or whose economic consequences will manifest slowly.[115] Therefore, their calculations may be an underestimate. The study has received both criticism and support from other economists.
By region
[edit]
Other studies investigate economic losses by GDP change per country or by per country per capita. Findings show large differences among countries and within countries. The estimated GDP changes in some developing countries are similar to some of the worst country-level losses during historical economic recessions.[12]: 2459 Economic losses are risks to living standards, which are more likely to be severe in developing countries. Climate change can push more people into extreme poverty or keep people poor, especially through particularly climate-sensitive sectors such as agriculture and fisheries. Climate change may also increase income inequality within countries as well as between them, particularly affecting low-income groups.[12]: 2461
The economic impact of changes in annual mean temperature is estimated to be lower at higher latitudes despite higher temperature changes due to lower estimated economic vulnerability to temperature changes.[1] Reduced daily temperature variability at high latitudes shows positive estimated economic impact, with opposite effects at lower latitudes and Europe.[1] Economic effects due to changes in total annual precipitation show regional patterns generally opposite to changes in the number of wet days.[1]
According to a study by reinsurance company Swiss Re in 2021 the economies of wealthy countries like the US would likely shrink by approximately 7%, while some developing nations would be devastated, losing around 20% or in some cases 40% of their economic output.[116]
A United States government report in November 2018 raised the possibility of US GDP going down 10% as a result of the warming climate, including huge shifts in geography, demographics and technology.[117]

By sector
[edit]
A number of economic sectors will be affected by climate change, including the livestock, forestry, and fisheries industries. Other sectors sensitive to climate change include the energy, insurance, tourism and recreation industries.[12]: 2496
Health and productivity
[edit]Among the health impacts that have been studied, aggregate costs of heat stress (through loss of work time) have been estimated, as have the costs of malnutrition.[120]: 1074–5 However, it is usual for studies to aggregate the number of 'years of life lost' adjusted for years living with disability to measure effects on health.[120]: 1060
In 2019 the International Labour Organization published a report titled: "Working on a warmer planet: The impact of heat stress on labour productivity and decent work", in which it claims that even if the rise in temperature will be limited to 1.5 degree, by the year 2030, Climate Change will cause losses in productivity reaching 2.2% of all the working hours, every year. This is equivalent to 80 million full-time jobs, or 2,400 billion dollars. The sector expected to be most affected is agriculture, which is projected to account for 60% of this loss. The construction sector is also projected to be severely impacted and accounts for 19% of projected losses. Other sectors that are most at risk are environmental goods and services, refuse collection, emergency, repair work, transport, tourism, sports and some forms of industrial work.[121][122]
It has been estimated that 3.5 million people die prematurely each year from air pollution from fossil fuels.[123] The health benefits of meeting climate goals substantially outweigh the costs of action.[124] The health benefits of phasing out fossil fuels measured in money (estimated by economists using the value of life for each country) are substantially more than the cost of achieving the 2 degree C goal of the Paris Agreement.[125]
Agriculture
[edit]
As extreme weather events become more common and more intense, floods and droughts can destroy crops and eliminate food supply, while disrupting agricultural activities and rendering workers jobless.[128][129] With more costs to the farmer, some will no longer find it financially feasible to farm: i.e. some farmers may choose to permanently leave drought-affected areas.[130] Agriculture employs the majority of the population in most low-income countries and increased costs can result in worker layoffs or pay cuts.[131] Other farmers will respond by raising their food prices; a cost that is directly passed on to the consumer and affects the affordability of food. Some farms do not sell their produce but instead feed a family or community; without that food, people will not have enough to eat. This results in decreased production, increased food prices, and potential starvation in parts of the world.[132] The agriculture industry in India makes up 52% of their employment and the Canadian Prairies supply 51% of Canadian agriculture; any changes in the production of food crops from these areas could have profound effects on the economy.[133]
Notably, one estimate suggests that a warming of 3 °C (5.4 °F) relative to late 20th century (i.e. closer to 4 °C (7.2 °F) when compared to preindustrial temperatures – a level associated with the SSP5-8.5 scenario) would cause labour capacity in Sub-Saharan Africa and Southeast Asia to decline by 30 to 50%, as the number of days when outdoor workers experience heat stress increases: up to 250 days the worst-affected parts of these two continents and of Central and South America. This could then increase crop prices by around 5%.[134]: 717 : 725
Similarly, North China Plain is also expected to be highly affected, in part due to the region's extensive irrigation networks resulting in unusually moist air. In scenarios without aggressive action to stop climate change, some heatwaves could become extreme enough to cause mass mortality in outdoor labourers, although they will remain relatively uncommon (up to around once per decade starting from 2100 under the most extreme scenario).[126]
Further, the role of climate change in undernutrition and micronutrient deficiencies can be calculated as the loss of "years of full health".[134]: 717 One estimate presented in 2016 suggests that under the scenario of strong warming and low adaptation due to high global conflict and rivalry, such losses may take up 0.4% of the global GDP and 4% of the GDP in India and the South Asian region by the year 2100.[135]Industry
[edit]Carbon-intensive industries and investors are expected to experience a significant increase in stranded assets[136] with a potential ripple effect throughout the world economy.[14][15]
Impacts on living costs
[edit]The effects of climate change contribute to inflation due to additional costs.[137][138][139] For example, food prices could rise by as much as 3% per year due to climate change impacts.[140][141][139] Climate change was one of the factors involved in the world food crises (2022–2023), which led to higher food prices.
Natural disasters fueled by climate change have increased housing costs through insurance[105][104] and by exacerbating housing shortages when those events make homes unlivable.[142]
Utility of aggregated assessment
[edit]
There are a number of benefits of using aggregated assessments to measure economic impacts of climate change.[4]: 954 They allow impacts to be directly compared between different regions and times. Impacts can be compared with other environmental problems and also with the costs of avoiding those impacts. A problem of aggregated analyses is that they often reduce different types of impacts into a small number of indicators. It can be argued that some impacts are not well-suited to this, e.g., the monetization of mortality and loss of species diversity. On the other hand, where there are monetary costs of avoiding impacts, it may not be possible to avoid monetary valuation of those impacts.[143]: 364
Costs of climate change mitigation measures
[edit]Climate change mitigation consist of human actions to reduce greenhouse gas emissions or to enhance carbon sinks that absorb greenhouse gases from the atmosphere.[144]: 2239
Several factors affect mitigation cost estimates. One is the baseline. This is a reference scenario that the alternative mitigation scenario is compared with. Others are the way costs are modelled, and assumptions about future government policy.[145]: 622 Cost estimates for mitigation for specific regions depend on the quantity of emissions allowed for that region in future, as well as the timing of interventions.[146]: 90
Mitigation costs will vary according to how and when emissions are cut. Early, well-planned action will minimise the costs.[147] Globally, the benefits of keeping warming under 2 °C exceed the costs,[148] which according to The Economist are affordable.[149]
Economists estimate the cost of climate change mitigation at between 1% and 2% of GDP.[150][151] While this is a large sum, it is still far less than the subsidies governments provide to the ailing fossil fuel industry. The International Monetary Fund estimated this at more than $5 trillion per year.[152][153]
Another estimate says that financial flows for climate mitigation and adaptation are going to be over $800 billion per year. These financial requirements are predicted to exceed $4 trillion per year by 2030.[154][155]
Globally, limiting warming to 2 °C may result in higher economic benefits than economic costs.[156]: 300 The economic repercussions of mitigation vary widely across regions and households, depending on policy design and level of international cooperation. Delayed global cooperation increases policy costs across regions, especially in those that are relatively carbon intensive at present. Pathways with uniform carbon values show higher mitigation costs in more carbon-intensive regions, in fossil-fuels exporting regions and in poorer regions. Aggregate quantifications expressed in GDP or monetary terms undervalue the economic effects on households in poorer countries. The actual effects on welfare and well-being are comparatively larger.[157]
Cost–benefit analysis may be unsuitable for analysing climate change mitigation as a whole. But it is still useful for analysing the difference between a 1.5 °C target and 2 °C.[150] One way of estimating the cost of reducing emissions is by considering the likely costs of potential technological and output changes. Policymakers can compare the marginal abatement costs of different methods to assess the cost and amount of possible abatement over time. The marginal abatement costs of the various measures will differ by country, by sector, and over time.[147]
Eco-tariffs on only imports contribute to reduced global export competitiveness and to deindustrialisation.[158]Global costs of mitigation
[edit]Mitigation cost estimates depend critically on the baseline (in this case, a reference scenario that the alternative scenario is compared with), the way costs are modelled, and assumptions about future government policy.[159]: 622 Macroeconomic costs in 2030 were estimated for multi-gas mitigation (reducing emissions of carbon dioxide and other GHGs, such as methane) as between a 3% decrease in global GDP to a small increase, relative to baseline.[160] This was for an emissions pathway consistent with atmospheric stabilization of GHGs between 445 and 710 ppm CO2-eq. In 2050, the estimated costs for stabilization between 710 and 445 ppm CO2-eq ranged between a 1% gain to a 5.5% decrease in global GDP, relative to baseline. These cost estimates were supported by a moderate amount of evidence and much agreement in the literature.[161]: 11, 18
Macroeconomic cost estimates were mostly based on models that assumed transparent markets, no transaction costs, and perfect implementation of cost-effective policy measures across all regions throughout the 21st century.[160]: 204 Relaxation of some or all these assumptions would lead to an appreciable increase in cost estimates. On the other hand, cost estimates could be reduced by allowing for accelerated technological learning, or the possible use of carbon tax/emission permit revenues to reform national tax systems.[161]: 8
In most of the assessed studies, costs rose for increasingly stringent stabilization targets. In scenarios that had high baseline emissions, mitigation costs were generally higher for comparable stabilization targets. In scenarios with low emissions baselines, mitigation costs were generally lower for comparable stabilization targets.

Regional costs of mitigation
[edit]Several studies have estimated regional mitigation costs. The conclusions of these studies are as follows:[163]: 776
- Regional abatement costs are largely dependent on the assumed stabilization level and baseline scenario. The allocation of emission allowances/permits is also an important factor, but for most countries, is less important than the stabilization level.
- Other costs arise from changes in international trade. Fossil fuel-exporting regions are likely to be affected by losses in coal and oil exports compared to baseline, while some regions might experience increased bio-energy (energy derived from biomass) exports.
- Allocation schemes based on current emissions (i.e., where the most allowances/permits are given to the largest current polluters, and the fewest allowances are given to smallest current polluters) lead to welfare losses for developing countries, while allocation schemes based on a per capita convergence of emissions (i.e., where per capita emissions are equalized) lead to welfare gains for developing countries.
Sharing of mitigation costs
[edit]There have been different proposals on how to allocate responsibility for cutting emissions:[164]: 103
- Egalitarianism: this system interprets the problem as one where each person has equal rights to a global resource, i.e., polluting the atmosphere.
- Basic needs: this system would have emissions allocated according to basic needs, as defined according to a minimum level of consumption. Consumption above basic needs would require countries to buy more emission rights. From this viewpoint, developing countries would need to be at least as well off under an emissions control regime as they would be outside the regime.
- Proportionality and polluter-pays principle: Proportionality reflects the ancient Aristotelian principle that people should receive in proportion to what they put in, and pay in proportion to the damages they cause. This has a potential relationship with the "polluter-pays principle", which can be interpreted in a number of ways:
- Historical responsibilities: this asserts that allocation of emission rights should be based on patterns of past emissions. Two-thirds of the stock of GHGs in the atmosphere at present is due to the past actions of developed countries.[165]: 29
- Comparable burdens and ability to pay: with this approach, countries would reduce emissions based on comparable burdens and their ability to take on the costs of reduction. Ways to assess burdens include monetary costs per head of population, as well as other, more complex measures, like the UNDP's Human Development Index.
- Willingness to pay: with this approach, countries take on emission reductions based on their ability to pay along with how much they benefit[166] from reducing their emissions.
- Equal per capita entitlements: this is the most widely cited method of distributing abatement costs, and is derived from egalitarianism.[164]: 106 This approach can be divided into two categories. In the first category, emissions are allocated according to national population. In the second category, emissions are allocated in a way that attempts to account for historical (cumulative) emissions.
- Status quo: with this approach, historical emissions are ignored, and current emission levels are taken as a status quo right to emit.[164]: 107 An analogy for this approach can be made with fisheries, which is a common, limited resource. The analogy would be with the atmosphere, which can be viewed as an exhaustible natural resource.[165]: 27 In international law, one state recognized the long-established use of another state's use of the fisheries resource. It was also recognized by the state that part of the other state's economy was dependent on that resource.
Costs of climate change adaptation measures
[edit]Adaptation costs are the costs of planning, preparing for, facilitating and implementing adaptation.[167]: 31 Adaptation benefits can be estimated in terms of reduced damages from the effects of climate change. In economic terms, the cost to benefit ratio of adaptation shows that each dollar can deliver large benefits. For example, it is estimated that every US$1 billion invested in adaptation against coastal flooding leads to a US$14 billion reduction in economic damages.[167]: 52 Investing in more resilient infrastructure in developing countries would provide an average of $4 in benefit for each $1 invested.[168] In other words, a small percentage increase in investment costs can mitigate the potentially very large disruption to infrastructure costs.
A 2023 study found the overall adaptation costs for all developing countries to be around US$215 billion per year for the period up to 2030. The highest adaptation expenses are for river flood protection, infrastructure and coastal protection. They also found that in most cases, adaptation costs will be significantly higher by 2050.[167]: 35–36
It is difficult to estimate both the costs of adaptation and the adaptation finance needs. The costs of adaptation varies with the objective and the level of adaptation required and what is acceptable as residual, i.e. 'unmanaged' risk.[167]: 33 Similarly, adaptation finance needs vary depending on the overall adaptation plans for the country, city, or region. It also depends on the assessment methods used. A 2023 study analysed country-level information submitted to the UNFCCC in National Adaptation Plans and Nationally Determined Contributions (85 countries). It estimated global adaptation needs of developing countries annual average to be US$387 billion, for the period up to 2030.[167]: 31
Both the cost estimates and needs estimates have high uncertainty. Adaptation costs are usually derived from economic modelling analysis (global or sectoral models). Adaptation needs are based on programme and project-level costing.[167]: 37 These programmes depend on the high level adaptation instrument – such as a plan, policy or strategy. For many developing countries, the implementation of certain actions specified in the plans is conditional on receiving international support. in these countries, a majority (85%) of finance needs are expected to be met from international public climate finance, i.e. funding from developed to developing countries.[167]: 38 There is less data available for adaptation costs and adaptation finance needs in high income countries. Data show that per capita needs tend to increase with income level, but these countries can also afford to invest more domestically.[167]: 39Challenges and debates
[edit]Efficiency and equity
[edit]No consensus exists on who should bear the burden of adaptation and mitigation costs.[71]: 29 Several different arguments have been made over how to spread the costs and benefits of taxes or systems based on emissions trading.
One approach considers the problem from the perspective of who benefits most from the public good. This approach is sensitive to the fact that different preferences exist between different income classes. The public good is viewed in a similar way as a private good, where those who use the public good must pay for it. Some people will benefit more from the public good than others, thus creating inequalities in the absence of benefit taxes. A difficulty with public goods is determining who exactly benefits from the public good, although some estimates of the distribution of the costs and benefits of global warming have been made – see above. Additionally, this approach does not provide guidance as to how the surplus of benefits from climate policy should be shared.
A second approach has been suggested based on economics and the social welfare function. To calculate the social welfare function requires an aggregation of the impacts of climate change policies and climate change itself across all affected individuals. This calculation involves a number of complexities and controversial equity issues.[47]: 460 For example, the monetization of certain impacts on human health. There is also controversy over the issue of benefits affecting one individual offsetting negative impacts on another.[4] : 958 These issues to do with equity and aggregation cannot be fully resolved by economics.[169]: 87
On a utilitarian basis, which has traditionally been used in welfare economics, an argument can be made for richer countries taking on most of the burdens of mitigation.[170] However, another result is possible with a different modeling of impacts. If an approach is taken where the interests of poorer people have lower weighting, the result is that there is a much weaker argument in favour of mitigation action in rich countries. Valuing climate change impacts in poorer countries less than domestic climate change impacts (both in terms of policy and the impacts of climate change) would be consistent with observed spending in rich countries on foreign aid[171][172]: 229
A third approach looks at the problem from the perspective of who has contributed most to the problem. Because the industrialized countries have contributed more than two-thirds of the stock of human-induced GHGs in the atmosphere, this approach suggests that they should bear the largest share of the costs. This stock of emissions has been described as an "environmental debt".[173]: 167 In terms of efficiency, this view is not supported. This is because efficiency requires incentives to be forward-looking, and not retrospective.[71]: 29 The question of historical responsibility is a matter of ethics. It has been suggested that developed countries could address the issue by making side-payments to developing countries.[173]: 167
A 2019 modelling study found climate change had contributed towards global economic inequality. Wealthy countries in colder regions had either felt little overall economic impact from climate change, or possibly benefited, whereas poor hotter countries very likely grew less than if global warming had not occurred.[174] Part of this observation stems from the fact that greenhouse gas emissions come mainly from high-income countries, while low-income countries are affected by it negatively.[175] So, high-income countries are producing significant amounts of emissions, but the impacts are unequally threatening low-income countries, who do not have access to the resources to recover from such impacts. This further deepens the inequalities within the poor and the rich, hindering sustainability efforts. Impacts of climate change could even push millions of people into poverty.[176]
Insurance and markets
[edit]Traditional insurance works by transferring risk to those better able or more willing to bear risk, and also by the pooling of risk.[71]: 25 Since the risks of climate change are, to some extent, correlated, this reduces the effectiveness of pooling. However, there is reason to believe that different regions will be affected differently by climate change. This suggests that pooling might be effective. Since developing countries appear to be potentially most at risk from the effects of climate change, developed countries could provide insurance against these risks.[177]
Disease, rising seas, reduced crop yields, and other harms driven by climate change will likely have a major deleterious impact on the economy by 2050 unless the world sharply reduces greenhouse gas emissions in the near term, according to a number of studies, including a study by the Carbon Disclosure Project and a study by insurance giant Swiss Re. The Swiss Re assessment found that annual output by the world economy will be reduced by $23 trillion annually, unless greenhouse gas emissions are adequately mitigated. As a consequence, according to the Swiss Re study, climate change will impact how the insurance industry prices a variety of risks.[178][179][180]
Effects of economic growth and degrowth scenarios on emissions
[edit]

Economic growth is one of the causes of increasing greenhouse gas emissions.[183][184] As the economy expands, demand for energy and energy-intensive goods increases, pushing up CO2 emissions. On the other hand, economic growth may drive technological change and increase energy efficiency. Economic growth may be associated with specialization in certain economic sectors. If specialization is in energy-intensive sectors, then there will be a strong link between economic growth and emissions growth. If specialization is in less energy-intensive sectors, e.g. the services sector, then there might be a weak link between economic growth and emissions growth. In general, there is some degree of flexibility between economic growth and emissions growth.[185]
Some studies found that degrowth scenarios, where economic output either declines or declines in terms of contemporary economic metrics such as current GDP, have been neglected in considerations of 1.5 °C scenarios reported by the Intergovernmental Panel on Climate Change (IPCC). They find that some degrowth scenarios "minimize many key risks for feasibility and sustainability compared to technology-driven pathways" with a core problem of such being feasibility in the context of contemporary decision-making of politics and globalized rebound- and relocation-effects.[186][187] This is supported by other studies which state that absolute decoupling is highly unlikely to be achieved fast enough to prevent global warming over 1.5 °C or 2 °C, even under optimistic policy conditions.[188]
Economics of climate change mitigation
[edit]
| Part of the behavioral sciences |
| Economics |
|---|
|
|
The economics of climate change mitigation is a contentious part of climate change mitigation – action aimed to limit the dangerous socio-economic and environmental consequences of climate change.[160]
Climate change mitigation centres on two main strategies: the reduction of greenhouse gas (GHG) emissions and the preservation and expansion of sinks which absorb greenhouse gases, including the sea and forests.
The economics of climate change mitigation are a central point of contention whose considerations significantly affect the level of climate action at every level from local to global.
For example, higher interest rates are slowing solar panel installation in developing countries.[193]
Policies and approaches to reduce emissions
[edit]Price signals
[edit]A carbon price is a system of applying a price to carbon emissions, as a method of emissions mitigation.[194] Potential methods of pricing include carbon emission trading, results-based climate finance, crediting mechanisms and more.[195] Carbon pricing can lend itself to the creation of carbon taxes, which allows governments to tax emissions.[194]
Carbon taxes are considered useful because, once a number[clarification needed] has been created, it will benefit the government either with currency or with a lowering in emissions or both, and therefore benefit the environment.[196] It is almost a consensus that carbon taxing is the most cost-effective method of having a substantial and rapid response to climate change and carbon emissions.[197] However, backlash to the tax includes that it can be considered regressive, as the impact can be damaging disproportionately to the poor who spend much of their income on energy for their homes.[198] Still, even with near universal approval, there are issues regarding both the collection and redistribution of the taxes. One of the central questions being how the newly collected taxes will be redistributed.[199]
Some or all of the proceeds of a carbon tax can be used to stop it disadvantaging the poor.[200]
Structural market reforms
[edit]In addition to the implementation of command-and-control regulations (as with a carbon tax), governments can also use market-based approaches to mitigate emissions. One such method is emissions trading where governments set the total emissions of all polluters to a maximum and distribute permits, through auction or allocation, that allow entities to emit a portion, typically one ton of carbon dioxide equivalent (CO2e), of the mandated total emissions.[201] In other words, the amount of pollution an entity can emit in an emissions trading system is limited by the number of permits they have. If a polluter wants to increase their emissions, they can only do so after buying permits from those who are willing to sell them.[202] Many economists prefer this method of reducing emissions as it is market based and highly cost effective.[201] That being said, emissions trading alone is not perfect since it fails to place a clear price on emissions. Without this price, emissions prices are volatile due to the supply of permits being fixed, meaning their price is entirely determined by shifts in demand.[203] This uncertainty in price is especially disliked by businesses since it prevents them from investing in abatement technologies with confidence which hinders efforts for mitigating emissions.[203] Regardless, while emissions trading alone has its problems and cannot reduce pollutants to the point of stabilizing the global climate, it remains an important tool for addressing climate change.
Degrowth
[edit]There is a debate about a potentially critical need for new ways of economic accounting, including directly monitoring and quantifying positive real-world environmental effects such as air quality improvements and related unprofitable work like forest protection, alongside far-reaching structural changes of lifestyles[204][205] as well as acknowledging and moving beyond the limits of current economics such as GDP.[206] Some argue that for effective climate change mitigation degrowth has to occur, while some argue that eco-economic decoupling could limit climate change enough while continuing high rates of traditional GDP growth.[207][208] There is also research and debate about requirements of how economic systems could be transformed for sustainability – such as how their jobs could transition harmoniously into green jobs – a just transition – and how relevant sectors of the economy – like the renewable energy industry and the bioeconomy – could be adequately supported.[209][210]
While degrowth is often believed to be associated with decreased living standards and austerity measures, many of its proponents seek to expand universal public goods[211][212] (such as public transport), increase health[213][214][215] (fitness, wellbeing[216] and freedom from diseases) and increase various forms of, often unconventional commons-oriented,[217] labor. To this end, the application of both advanced technologies and reductions in various demands, including via overall reduced labor time[218] or sufficiency-oriented strategies,[219] are considered to be important by some.[220][221]
Assessing costs and benefits
[edit]GDP
[edit]The costs of mitigation and adaptation policies can be measured as a percentage of GDP. A problem with this method of assessing costs is that GDP is an imperfect measure of welfare.[222]: 478 There are externalities in the economy which mean that some prices might not be truly reflective of their social costs.
Corrections can be made to GDP estimates to allow for these problems, but they are difficult to calculate. In response to this problem, some have suggested using other methods to assess policy. For example, the United Nations Commission for Sustainable Development has developed a system for "Green" GDP accounting and a list of sustainable development indicators.
Baselines
[edit]The emissions baseline is, by definition, the emissions that would occur in the absence of policy intervention. Definition of the baseline scenario is critical in the assessment of mitigation costs.[222]: 469 This because the baseline determines the potential for emissions reductions, and the costs of implementing emission reduction policies.
There are several concepts used in the literature over baselines, including the "efficient" and "business-as-usual" (BAU) baseline cases. In the efficient baseline, it is assumed that all resources are being employed efficiently. In the BAU case, it is assumed that future development trends follow those of the past, and no changes in policies will take place. The BAU baseline is often associated with high GHG emissions, and may reflect the continuation of current energy-subsidy policies, or other market failures.
Some high emission BAU baselines imply relatively low net mitigation costs per unit of emissions. If the BAU scenario projects a large growth in emissions, total mitigation costs can be relatively high. Conversely, in an efficient baseline, mitigation costs per unit of emissions can be relatively high, but total mitigation costs low.[clarification needed]
Ancillary impacts
[edit]These are the secondary or side effects of mitigation policies, and including them in studies can result in higher or lower mitigation cost estimates.[222]: 455 Reduced mortality and morbidity costs are potentially a major ancillary benefit of mitigation. This benefit is associated with reduced use of fossil fuels, thereby resulting in less air pollution, which might even just by itself be a benefit greater than the cost.[223]: 48 There may also be ancillary costs.
Flexibility
[edit]Flexibility is the ability to reduce emissions at the lowest cost. The greater the flexibility that governments allow in their regulatory framework to reduce emissions, the lower the potential costs are for achieving emissions reductions (Markandya et al., 2001:455).[222]
- "Where" flexibility allows costs to be reduced by allowing emissions to be cut at locations where it is most efficient to do so. For example, the Flexibility Mechanisms of the Kyoto Protocol allow "where" flexibility (Toth et al., 2001:660).[224]
- "When" flexibility potentially lowers costs by allowing reductions to be made at a time when it is most efficient to do so.
Including carbon sinks in a policy framework is another source of flexibility. Tree planting and forestry management actions can increase the capacity of sinks. Soils and other types of vegetation are also potential sinks. There is, however, uncertainty over how net emissions are affected by activities in this area.[222][clarification needed]
Discount rates
[edit]Assessing climate change impacts and mitigation policies involves a comparison of economic flows that occur in different points in time. The discount rate is used by economists to compare economic effects occurring at different times. Discounting converts future economic impacts into their present-day value. The discount rate is generally positive because resources invested today can, on average, be transformed into more resources later. If climate change mitigation is viewed as an investment, then the return on investment can be used to decide how much should be spent on mitigation.
Integrated assessment models (IAM) are used to estimate the social cost of carbon. The discount rate is one of the factors used in these models. The IAM frequently used is the Dynamic Integrated Climate-Economy (DICE) model developed by William Nordhaus. The DICE model uses discount rates, uncertainty, and risks to make benefit and cost estimations of climate policies and adapt to the current economic behavior.[225]
The choice of discount rate has a large effect on the result of any climate change cost analysis (Halsnæs et al., 2007:136).[226] Using too high a discount rate will result in too little investment in mitigation, but using too low a rate will result in too much investment in mitigation. In other words, a high discount rate implies that the present-value of a dollar is worth more than the future-value of a dollar.
Discounting can either be prescriptive or descriptive. The descriptive approach is based on what discount rates are observed in the behaviour of people making every day decisions (the private discount rate) (IPCC, 2007c:813).[227] In the prescriptive approach, a discount rate is chosen based on what is thought to be in the best interests of future generations (the social discount rate).
The descriptive approach can be interpreted[clarification needed] as an effort to maximize the economic resources available to future generations, allowing them to decide how to use those resources (Arrow et al., 1996b:133–134).[228] The prescriptive approach can be interpreted as an effort to do as much as is economically justified[clarification needed] to reduce the risk of climate change.
The DICE model incorporates a descriptive approach, in which discounting reflects actual economic conditions. In a recent[when?] DICE model, DICE-2013R Model, the social cost of carbon is estimated based on the following alternative scenarios: (1) a baseline scenario, when climate change policies have not changed since 2010, (2) an optimal scenario, when climate change policies are optimal (fully implemented and followed), (3) when the optimal scenario does not exceed 2˚C limit after 1900 data, (4) when the 2˚C limit is an average and not the optimum, (5) when a near-zero (low) discount rate of 0.1% is used (as assumed in the Stern Review), (6) when a near-zero discount rate is also used but with calibrated interest rates, and (7) when a high discount rate of 3.5% is used.[229][needs update]
According to Markandya et al. (2001:466), discount rates used in assessing mitigation programmes need to at least partly reflect the opportunity costs of capital.[222] In developed countries, Markandya et al. (2001:466) thought that a discount rate of around 4–6% was probably justified, while in developing countries, a rate of 10–12% was cited. The discount rates used in assessing private projects were found to be higher – with potential rates of between 10% and 25%.
When deciding how to discount future climate change impacts, value judgements are necessary (Arrow et al., 1996b:130). IPCC (2001a:9) found that there was no consensus on the use of long-term discount rates in this area.[230] The prescriptive approach to discounting leads to long-term discount rates of 2–3% in real terms, while the descriptive approach leads to rates of at least 4% after tax – sometimes much higher (Halsnæs et al., 2007:136).
Even today, it is difficult to agree on an appropriate discount rate. The approach of discounting to be either prescriptive or descriptive stemmed from the views of Nordhaus and Stern. Nordhaus takes on a descriptive approach which "assumes that investments to slow climate change must compete with investments in other areas". While Stern takes on a prescriptive approach in which "leads to the conclusion that any positive pure rate of time preference is unethical".[225]
In Nordhaus' view, his descriptive approach translates that the impact of climate change is slow, thus investments in climate change should be on the same level of competition with other investments. He defines the discount rate to be the rate of return on capital investments. The DICE model uses the estimated market return on capital as the discount rate, around an average of 4%. He argues that a higher discount rate will make future damages look small, thus have less effort to reduce emissions today. A lower discount rate will make future damages look larger, thus put more effort to reduce emissions today.[231]
In Stern's view, the pure rate of time preference is defined as the discount rate in a scenario where present and future generations have equal resources and opportunities.[232] A zero pure rate of time preference in this case would indicate that all generations are treated equally. The future generation do not have a "voice" on today's current policies, so the present generation are morally responsible to treat the future generation in the same manner. He suggests for a lower discount rate in which the present generation should invest in the future to reduce the risks of climate change.
Assumptions are made to support estimating high and low discount rates. These estimates depend on future emissions, climate sensitivity relative to increase in greenhouse gas concentrations, and the seriousness of impacts over time.[233] Long-term climate policies will significantly impact future generations and this is called intergenerational discounting. Factors that make intergenerational discounting complicated include the great uncertainty of economic growth, future generations are affected by today's policies, and private discounting will be affected due to a longer "investment horizon".[234]
Discounting is a relatively controversial issue in both climate change mitigation and environmental economics due to the ethical implications of valuing future generations less than present ones. Non-economists often find it difficult to grapple with the idea that thousands of dollars of future costs and benefits can be valued at less than a cent in the present after discounting.[235]
Economic barriers to addressing climate change mitigation
[edit]Economic components like the stock market underestimate or cannot value social benefits of climate change mitigation.[236] Climate change is largely an externality,[237][238][239] despite a limited recent internalization of impacts that previously were fully 'external' to the economy.[240]
Consumers can and also are affected by policies that relate to e.g. ethical consumer literacy,[241] the available choices they have, transportation policy,[242] product transparency policies,[243][244][245][246] and larger-order economic policies that for example facilitate large-scale shifts of jobs.[209][247] Such policies or measures are sometimes unpopular with the population. Therefore, they may be difficult for politicians to enact directly or help facilitate indirectly.
Climate policies-induced future lost financial profits from global stranded fossil-fuel assets would lead to major losses for freely managed wealth of investors in advanced economies in current economics.[248]
See also
[edit]References
[edit]- ^ a b c d e f g Kotz, Mazimilian.; Levermann, Anders; Wenz, Leonie (17 April 2024). "The economic commitment of climate change". Nature. 628 (8008): 551–557. Bibcode:2024Natur.628..551K. doi:10.1038/s41586-024-07219-0. PMC 11023931. PMID 38632481.
- ^ Wang, Zheng; Wu, Jing; Liu, Changxin; Gu, Gaoxiang (2017). Integrated Assessment Models of Climate Change Economics. Singapore: Springer Singapore. doi:10.1007/978-981-10-3945-4. ISBN 9789811039430.
- ^ a b IPCC (2014). "Summary for Policymakers" (PDF). IPCC AR5 WG2 A 2014. p. 12. Archived (PDF) from the original on 19 December 2019. Retrieved 15 February 2020.
- ^ a b c d e Smith, J. B.; et al. (2001). "19. Vulnerability to Climate Change and Reasons for Concern: A Synthesis" (PDF). In McCarthy, J. J.; et al. (eds.). Climate Change 2001: Impacts, Adaptation and Vulnerability. Contribution of Working Group II to the Third Assessment Report of the Intergovernmental Panel on Climate Change (PDF). Cambridge, UK, and New York, N.Y.: Cambridge University Press. pp. 913–970. Retrieved 19 January 2022.
- ^ Vuong, Q.-H. (2021). "The semiconducting principle of monetary and environmental values exchange". Economics and Business Letters. 10 (3): 284–290. doi:10.17811/ebl.10.3.2021.284-290.
- ^ Cardenas, IC (2024). "Mitigation of climate change. Risk and uncertainty research gaps in the specification of mitigation actions". Environmental Science & Policy. 162 (December 2024) 103912. doi:10.1016/j.envsci.2024.103912.
This article incorporates text from this source, which is available under the CC BY 4.0 license.
- ^ Stern, N. (2006). Stern Review on the Economics of Climate Change: Part III: The Economics of Stabilisation. HM Treasury, London: http://hm-treasury.gov.uk/sternreview_index.htm
- ^ Sampedro, Jon; Smith, Steven J.; Arto, Iñaki; González-Eguino, Mikel; Markandya, Anil; Mulvaney, Kathleen M.; Pizarro-Irizar, Cristina; Van Dingenen, Rita (2020). "Health co-benefits and mitigation costs as per the Paris Agreement under different technological pathways for energy supply". Environment International. 136 105513. Bibcode:2020EnInt.13605513S. doi:10.1016/j.envint.2020.105513. hdl:10810/44202. PMID 32006762. S2CID 211004787.
- ^ IPCC, 2007: Technical Summary – Climate Change 2007: Mitigation. Contribution of Working Group III to the Fourth Assessment Report of the Intergovernmental Panel on Climate Change Archived 11 December 2009 at the Wayback Machine [B. Metz, O.R. Davidson, P.R. Bosch, R. Dave, L.A. Meyer (eds)], Cambridge University Press, Cambridge, United Kingdom and New York, NY, United States., XXX pp.
- ^ "The energy transition will be much cheaper than you think". The Economist. ISSN 0013-0613. Retrieved 27 December 2024.
The incremental bill to cut emissions is likely to be less than $1trn a year, which is to say less than one percent of global GDP.
- ^ United Nations Environment Programme (2023). Adaptation Gap Report 2023: Underfinanced.Underprepared. Inadequate investment and planning on climate adaptation leaves world exposed. Nairobi. doi:10.59117/20.500.11822/43796
- ^ a b c d e f g h i j k l O'Neill, B., M. van Aalst, Z. Zaiton Ibrahim, L. Berrang Ford, S. Bhadwal, H. Buhaug, D. Diaz, K. Frieler, M. Garschagen, A. Magnan, G. Midgley, A. Mirzabaev, A. Thomas, and R.Warren, 2022: Chapter 16: Key Risks Across Sectors and Regions. In: Climate Change 2022: Impacts, Adaptation and Vulnerability. Contribution of Working Group II to the Sixth Assessment Report of the Intergovernmental Panel on Climate Change [H.-O. Pörtner, D.C. Roberts, M. Tignor, E.S. Poloczanska, K. Mintenbeck, A. Alegría, M. Craig, S. Langsdorf, S. Löschke, V. Möller, A. Okem, B. Rama (eds.)]. Cambridge University Press, Cambridge, UK and New York, NY, USA, pp. 2411–2538, doi:10.1017/9781009325844.025
- ^ Luomi, Mari (2020). Global Climate Change Governance: The search for effectiveness and universality (Report). International Institute for Sustainable Development (IISD). JSTOR resrep29269.
- ^ a b Brown, Eryn (30 September 2021). "Now is the time to prepare for the economic shocks of battling climate change". Knowable Magazine. doi:10.1146/knowable-093021-1. Retrieved 21 January 2022.
- ^ a b van der Ploeg, Frederick; Rezai, Armon (6 October 2020). "Stranded Assets in the Transition to a Carbon-Free Economy". Annual Review of Resource Economics. 12 (1): 281–298. doi:10.1146/annurev-resource-110519-040938. hdl:10419/215027. ISSN 1941-1340.
- ^ IPCC, 2022: Summary for Policymakers [H.-O. Pörtner, D.C. Roberts, E.S. Poloczanska, K. Mintenbeck, M. Tignor, A. Alegría, M. Craig, S. Langsdorf, S. Löschke, V. Möller, A. Okem (eds.)]. In: Climate Change 2022: Impacts, Adaptation and Vulnerability. Contribution of Working Group II to the Sixth Assessment Report of the Intergovernmental Panel on Climate Change [H.-O. Pörtner, D.C. Roberts, M. Tignor, E.S. Poloczanska, K. Mintenbeck, A. Alegría, M. Craig, S. Langsdorf, S. Löschke, V. Möller, A. Okem, B. Rama (eds.)]. Cambridge University Press, Cambridge, UK and New York, NY, USA, pp. 3–33, doi:10.1017/9781009325844.001
- ^ a b Parry, M. L.; et al., "TS.5.4 Perspectives on climate change and sustainability. In (book chapter) Technical summary", Climate Change 2007: Impacts, Adaptation and Vulnerability, in IPCC AR4 WG2 2007
- ^ a b Sathaye, J.; et al. (2009), "12.3 Implications of mitigation choices for sustainable development goals. In (book chapter) 12. Sustainable Development and mitigation", Climate Change 2007: Mitigation of Climate Change (PDF), Journal of Environmental Quality, vol. 38, p. 837, Bibcode:2009JEnvQ..38..837V, doi:10.2134/jeq2008.0024br, in IPCC AR4 WG3 2007
- ^ Shindell D; Faluvegi G; Seltzer K; Shindell C (2018). "Quantified, Localized Health Benefits of Accelerated Carbon Dioxide Emissions Reductions". Nat Clim Change. 8 (4): 291–295. Bibcode:2018NatCC...8..291S. doi:10.1038/s41558-018-0108-y. PMC 5880221. PMID 29623109.
- ^ Watts N; Amann M; Arnell N; Ayeb-Karlsson S; Belesova K; Boykoff M; et al. (2019). "The 2019 report of The Lancet Countdown on health and climate change: ensuring that the health of a child born today is not defined by a changing climate". Lancet. 394 (10211): 1836–1878. Bibcode:2019Lanc..394.1836W. doi:10.1016/S0140-6736(19)32596-6. hdl:10871/40583. PMC 7616843. PMID 31733928. S2CID 207976337.
- ^ Oliver Richters et al.: NGFS Climate Scenario Database: Technical Documentation V3.1, 2022. NGFS Climate Scenarios Data Set, Zenodo, doi:10.5281/zenodo.5782903.
- ^ Simon Hollnaicher; Assessing Feasibility with Value-laden Models; https://doi.org/10.1007/978-3-662-70714-2; J.B. Metzler Berlin, Heidelberg
- ^ Intergovernmental Panel on Climate Change Staff. (26 January 2015). Climate Change 2014: Mitigation of Climate Change : Working Group III Contribution to the IPCC Fifth Assessment Report. Cambridge University Press. ISBN 978-1107654815. OCLC 994399607.
- ^ Intergovernmental Panel on Climate Change, issuing body. Global warming of 1.5°C. OCLC 1056192590.
- ^ Rogelj, J. Popp, A. Calvin, K.V. Luderer, G. Emmerling, J. Gernaat, D. Fujimori, S. Strefler, J. Hasegawa, T. Marangoni, G. Krey, V. Kriegler, E. Riahi, K. van Vuuren, D.P. Doelman, J. Drouet, L. Edmonds, J. Fricko, O. Harmsen, M. Havlik, P. Humpenöder, F. Stehfest, E. Tavoni, M. (5 March 2018). Scenarios towards limiting global mean temperature increase below 1.5 °C. Nature Publishing Group. OCLC 1039547304.
{{cite book}}: CS1 maint: multiple names: authors list (link) - ^ Böhringer, Christoph; Rutherford, Thomos F. (September 2009). "Integrated assessment of energy policies: Decomposing top-down and bottom-up". Journal of Economic Dynamics and Control. 33 (9): 1648–1661. doi:10.1016/j.jedc.2008.12.007. ISSN 0165-1889.
- ^ "Explainer: How 'Shared Socioeconomic Pathways' explore future climate change". Carbon Brief. 19 April 2018. Retrieved 2 June 2019.
- ^ Riahi, Keywan; van Vuuren, Detlef P.; Kriegler, Elmar; Edmonds, Jae; O’Neill, Brian C.; Fujimori, Shinichiro; Bauer, Nico; Calvin, Katherine; Dellink, Rob (1 January 2017). "The Shared Socioeconomic Pathways and their energy, land use, and greenhouse gas emissions implications: An overview". Global Environmental Change. 42: 153–168. Bibcode:2017GEC....42..153R. doi:10.1016/j.gloenvcha.2016.05.009. hdl:10044/1/78069. ISSN 0959-3780.
- ^ Stehfest, E. (Elke) (2014). Integrated assessment of global environmental change with IMAGE 3.0 : model description and policy applications. PBL Netherlands Environmental Assessment Agency. ISBN 9789491506710. OCLC 884831253.
- ^ Huppmann, Daniel; Gidden, Matthew; Fricko, Oliver; Kolp, Peter; Orthofer, Clara; Pimmer, Michael; Kushin, Nikolay; Vinca, Adriano; Mastrucci, Alessio (February 2019). "The MESSAGE Integrated Assessment Model and the ix modeling platform (ixmp): An open framework for integrated and cross-cutting analysis of energy, climate, the environment, and sustainable development" (PDF). Environmental Modelling & Software. 112: 143–156. doi:10.1016/j.envsoft.2018.11.012. S2CID 57375075.
- ^ Fujimori, Shinichiro; Masui, Toshihiko; Matsuoka, Yuzuru (2017), "AIM/CGE V2.0 Model Formula", Post-2020 Climate Action, Springer Singapore, pp. 201–303, doi:10.1007/978-981-10-3869-3_12, ISBN 9789811038686
- ^ Calvin, Katherine; Patel, Pralit; Clarke, Leon; Asrar, Ghassem; Bond-Lamberty, Ben; Cui, Ryna Yiyun; Di Vittorio, Alan; Dorheim, Kalyn; Edmonds, Jae (15 February 2019). "GCAM v5.1: representing the linkages between energy, water, land, climate, and economic systems". Geoscientific Model Development. 12 (2): 677–698. Bibcode:2019GMD....12..677C. doi:10.5194/gmd-12-677-2019. ISSN 1991-9603.
- ^ Luderer, Gunnar; Leimbach, Marian; Bauer, Nico; Kriegler, Elmar; Baumstark, Lavinia; Bertram, Christoph; Giannousakis, Anastasis; Hilaire, Jerome; Klein, David (2015). "Description of the REMIND Model (Version 1.6)". SSRN Working Paper Series. doi:10.2139/ssrn.2697070. ISSN 1556-5068. S2CID 11719708.
- ^ Baumstark, Lavinia; Bauer, Nico; Benke, Falk; Bertram, Christoph; Bi, Stephen; Gong, Chen Chris; Dietrich, Jan Philipp; Dirnaichner, Alois; Giannousakis, Anastasis; Hilaire, Jérôme; Klein, David (28 October 2021). "REMIND2.1: transformation and innovation dynamics of the energy-economic system within climate and sustainability limits". Geoscientific Model Development. 14 (10): 6571–6603. Bibcode:2021GMD....14.6571B. doi:10.5194/gmd-14-6571-2021. ISSN 1991-959X.
- ^ Bosetti, Valentina; Carraro, Carlo; Galeotti, Marzio; Massetti, Emanuele; Tavoni, Massimo (2006). "WITCH - A World Induced Technical Change Hybrid Model" (PDF). SSRN Working Paper Series. doi:10.2139/ssrn.948382. ISSN 1556-5068. S2CID 155558316.
- ^ Gambhir, Ajay; Butnar, Isabela; Li, Pei-Hao; Smith, Pete; Strachan, Neil (8 May 2019). "A Review of Criticisms of Integrated Assessment Models and Proposed Approaches to Address These, through the Lens of BECCS" (PDF). Energies. 12 (9): 1747. doi:10.3390/en12091747. ISSN 1996-1073.
- ^ Huppmann, Daniel; Rogelj, Joeri; Kriegler, Elmar; Krey, Volker; Riahi, Keywan (15 October 2018). "A new scenario resource for integrated 1.5 °C research" (PDF). Nature Climate Change. 8 (12): 1027–1030. Bibcode:2018NatCC...8.1027H. doi:10.1038/s41558-018-0317-4. ISSN 1758-678X. S2CID 92398486.
- ^ a b Hafner, Sarah; Anger-Kraavi, Annela; Monasterolo, Irene; Jones, Aled (1 November 2020). "Emergence of New Economics Energy Transition Models: A Review". Ecological Economics. 177: 106779. Bibcode:2020EcoEc.17706779H. doi:10.1016/j.ecolecon.2020.106779. ISSN 0921-8009. S2CID 224854628.
{{cite journal}}: CS1 maint: article number as page number (link) - ^ Mercure, Jean-Francois; Pollit, Hector; Neil, Edward; Holden, Philip; Unnada, Unnada (2018). "Environmental impact assessment for climate change policy with the simulation-based integrated assessment model E3ME-FTT-GENIE". Energy Strategy Reviews. 20: 195–208. arXiv:1707.04870. Bibcode:2018EneSR..20..195M. doi:10.1016/j.esr.2018.03.003. ISSN 2211-467X.
- ^ Lamperti, F.; Dosi, G.; Napoletano, M.; Roventini, A.; Sapio, A. (2018). "Faraway, So Close: Coupled Climate and Economic Dynamics in an Agent-based Integrated Assessment Model". Ecological Economics. 150: 315–339. Bibcode:2018EcoEc.150..315L. doi:10.1016/j.ecolecon.2018.03.023. hdl:11382/517765. ISSN 0921-8009.
- ^ a b Clarke L., K. Jiang, K. Akimoto, M. Babiker, G. Blanford, K. Fisher-Vanden, J.-C. Hourcade, V. Krey, E. Kriegler, A. Löschel, D. McCollum, S. Paltsev, S. Rose, P.R. Shukla, M. Tavoni, B.C.C. van der Zwaan, and D.P. van Vuuren, 2014: Assessing Transformation Pathways. In: Climate Change 2014: Mitigation of Climate Change. Contribution of Working Group III to the Fifth Assessment Report of the Intergovernmental Panel on Climate Change [Edenhofer, O., R. Pichs-Madruga, Y. Sokona, E. Farahani, S. Kadner, K. Seyboth, A. Adler, I. Baum, S. Brunner, P. Eickemeier, B. Kriemann, J. Savolainen, S. Schlömer, C. von Stechow, T. Zwickel and J.C. Minx (eds.)]. Cambridge University Press, Cambridge, United Kingdom and New York, NY, USA.
- ^ a b c Dell, M., Jones, B. F., & Olken, B. A. (2014). What do we learn from the weather? The new climate-economy literature. Journal of Economic literature, 52(3), 740–798.
- ^ a b IPCC, 2022: Annex II: Glossary [Möller, V., R. van Diemen, J.B.R. Matthews, C. Méndez, S. Semenov, J.S. Fuglestvedt, A. Reisinger (eds.)]. In: Climate Change 2022: Impacts, Adaptation and Vulnerability. Contribution of Working Group II to the Sixth Assessment Report of the Intergovernmental Panel on Climate Change [H.-O. Pörtner, D.C. Roberts, M. Tignor, E.S. Poloczanska, K. Mintenbeck, A. Alegría, M. Craig, S. Langsdorf, S. Löschke, V. Möller, A. Okem, B. Rama (eds.)]. Cambridge University Press, Cambridge, UK and New York, NY, USA, pp. 2897–2930, doi:10.1017/9781009325844.029
- ^ Clarke L., K. Jiang, K. Akimoto, M. Babiker, G. Blanford, K. Fisher-Vanden, J.-C. Hourcade, V. Krey, E. Kriegler, A. Löschel, D. McCollum, S. Paltsev, S. Rose, P.R. Shukla, M. Tavoni, B.C.C. van der Zwaan, and D.P. van Vuuren, 2014: Assessing Transformation Pathways. In: Climate Change 2014: Mitigation of Climate Change. Contribution of Working Group III to the Fifth Assessment Report of the Intergovernmental Panel on Climate Change [Edenhofer, O., R. Pichs-Madruga, Y. Sokona, E. Farahani, S. Kadner, K. Seyboth, A. Adler, I. Baum, S. Brunner, P. Eickemeier, B. Kriemann, J. Savolainen, S. Schlömer, C. von Stechow, T. Zwickel and J.C. Minx (eds.)]. Cambridge University Press, Cambridge, United Kingdom and New York, NY, USA.
- ^ a b c Kolstad C., K. Urama, J. Broome, A. Bruvoll, M. Cariño Olvera, D. Fullerton, C. Gollier, W.M. Hanemann, R. Hassan, F. Jotzo, M.R. Khan, L. Meyer, and L. Mundaca, 2014: Social, Economic and Ethical Concepts and Methods[permanent dead link]. In: Climate Change 2014: Mitigation of Climate Change. Contribution of Working Group III to the Fifth Assessment Report of the Intergovernmental Panel on Climate Change [Edenhofer, O., R. Pichs-Madruga, Y. Sokona, E. Farahani, S. Kadner, K. Seyboth, A. Adler, I. Baum, S. Brunner, P. Eickemeier, B. Kriemann, J. Savolainen, S. Schlömer, C. von Stechow, T. Zwickel and J.C. Minx (eds.)]. Cambridge University Press, Cambridge, United Kingdom and New York, NY, USA
- ^ a b Pearce, D. W.; et al., "6.1.2 The nature of damage assessment. In (book chapter) 6. The Social Costs of Climate Change: Greenhouse Damage and the Benefits of Control", IPCC SAR WG3 1996, pp. 184–185
- ^ a b Markandya, A.; et al. (2001). "7. Costing Methodologies.". In Metz, B.; Davidson, O; Swart, R.; Pan, J. (eds.). Climate Change 2001: Mitigation. Contribution of Working Group III to the Third Assessment Report of the Intergovernmental Panel on Climate Change (PDF). Cambridge: Cambridge University Press. Retrieved 10 January 2022.
- ^ Ahmad, Q. K.; et al., "2.5.3 Nonmarket impacts. In (book chapter) 2. Methods and Tools", IPCC TAR WG2 2001
- ^ Ahmad, Q. K.; et al., "2.7.2.2 Cost-Benefit Analysis. In (book chapter) 2. Methods and Tools", IPCC TAR WG2 2001
- ^ a b c d e Goldemberg, J.; et al., "1.3 Contribution of Economics. In (book chapter) 1. Introduction: scope of the Assessment", IPCC SAR WG3 1996, p. 24
- ^ a b Arrow, K. J.; et al., "4.1.1 Areas of agreement and disagreement. In (book chapter) 4. Intertemporal Equity, Discounting, and Economic Efficiency", IPCC SAR WG3 1996, pp. 130–131
- ^ Ahmad, Q. K.; et al., "2.5.4.1. Insurance and the Cost of Uncertainty. In (book chapter) 2. Methods and Tools", IPCC TAR WG2 2001
- ^ Ahmad, Q. K.; et al., "2.5.1.3 Discounting the future. In (book chapter) 2. Methods and Tools", IPCC TAR WG2 2001
- ^ Ackerman, Frank; DeCanio, Stephen J.; Howarth, Richard B.; Sheeran, Kristen (August 2009). "Limitations of integrated assessment models of climate change" (PDF). Climatic Change. 95 (3–4): 297–315. Bibcode:2009ClCh...95..297A. doi:10.1007/s10584-009-9570-x. S2CID 14011838. Retrieved 21 January 2022.
- ^ Spash, C. L. (2008). "The economics of avoiding action on climate change" (PDF). Adbusters #75. 16 (1): 4–5. Retrieved 21 January 2022.
- ^ a b DeCanio, S. J. (17 October 2007), "Reflections on Climate Change, Economic Development, and Global Equity : Presented at the 2007 Leontief Prize Ceremony Tufts University Global Development and Environment Institute October 17, 2007", www.academia.edu
- ^ Goldemberg, J.; et al., "1.4.1 General issues. In (book chapter) 1. Introduction: scope of the Assessment", IPCC SAR WG3 1996, pp. 31–32
- ^ Downing, T. E.; et al. (2001). "2. Methods and Tools" (PDF). In McCarthy, J. J.; et al. (eds.). Climate Change 2001: Impacts, Adaptation and Vulnerability. Contribution of Working Group II to the Third Assessment Report of the Intergovernmental Panel on Climate Change (PDF). Cambridge, UK, and New York, N.Y.: Cambridge University Press. pp. 105–144. Retrieved 19 January 2022.
- ^ Toth, F. L.; et al. (2001). "10. Decision-making Frameworks". In Metz, B.; Davidson, O; Swart, R.; Pan, J.; et al. (eds.). Climate Change 2001: Mitigation. Contribution of Working Group III to the Third Assessment Report of the Intergovernmental Panel on Climate Change (PDF). Cambridge: Cambridge University Press. Retrieved 20 January 2022.
- ^ Roson, R. and M. Sartori, 2016: Estimation of climate change damage functions for 140 regions in the GTAP 9 data base. J. Glob. Econ. Anal., 1(2), doi:10.21642/JGEA.010202AF
- ^ a b Watkiss, P. and Hunt, A. (2012). Cost-effectiveness analysis:: Decision Support Methods for Adaptation, MEDIATION Project, Briefing Note 2. Funded by the EC's 7FWP
- ^ a b c New, M., D. Reckien, D. Viner, C. Adler, S.-M. Cheong, C. Conde, A. Constable, E. Coughlan de Perez, A. Lammel, R. Mechler, B. Orlove, and W. Solecki, 2022: Chapter 17: Decision-Making Options for Managing Risk. In: Climate Change 2022: Impacts, Adaptation and Vulnerability. Contribution of Working Group II to the Sixth Assessment Report of the Intergovernmental Panel on Climate Change [H.-O. Pörtner, D.C. Roberts, M. Tignor, E.S. Poloczanska, K. Mintenbeck, A. Alegría, M. Craig, S. Langsdorf, S. Löschke, V. Möller, A. Okem, B. Rama (eds.)]. Cambridge University Press, Cambridge, UK and New York, NY, USA, pp. 2539–2654, doi:10.1017/9781009325844.026
- ^ Stern, Nicholas (May 2008). "The Economics of Climate Change". American Economic Review. 98 (2): 1–37. doi:10.1257/aer.98.2.1. ISSN 0002-8282. S2CID 59019533.
- ^ Schneider, S.H.; et al., "19.1.1 Purpose, scope and structure of the chapter. In (book chapter) 19: Assessing Key Vulnerabilities and the Risk from Climate Change", Climate Change 2007: Impacts, Adaptation and Vulnerability, in IPCC AR4 WG2 2007, p. 782
- ^ Stevens, Harry (1 March 2023). "The United States has caused the most global warming. When will China pass it?". The Washington Post. Archived from the original on 1 March 2023.
- ^ a b c Webster, M.; et al. (December 2002), Report 95: Uncertainty Analysis of Climate Change and Policy Response (PDF), Cambridge MA, USA: Massachusetts Institute of Technology (MIT) Joint Program on the Science and Policy of Global Change, Joint Program Report Series, pp. 3–4, retrieved 20 January 2022
- ^ Wilbanks, T. J.; et al., "7.4 Key future impacts and vulnerabilities. In (book chapter) 7. Industry, Settlement and Society", Climate Change 2007: Impacts, Adaptation and Vulnerability, in IPCC AR4 WG2 2007
- ^ Fisher, B. S.; et al. (2007). "3.1.4 Economic growth and convergence. In (book chapter) 3. Issues related to mitigation in the long term context". In Metz, B.; et al. (eds.). Climate Change 2007: Mitigation. Contribution of Working Group III to the Fourth Assessment Report of the Intergovernmental Panel on Climate Change (PDF). Cambridge, UK, and New York, N.Y.: Cambridge University Press. ISBN 978-0-521-88011-4. Retrieved 19 January 2022.
- ^ National Research Council (2011). "Chapter Four: A Framework for Making America's Climate Choices". America's climate choices. Washington, D.C.: National Academies Press. ISBN 978-0-309-14585-5.
- ^ a b c d e Halsnæs, K.; et al., "2.3.3 Costs, benefits and uncertainties. In (book chapter) 2. Framing issues", IPCC AR4 WG3 2007
- ^ a b c d Goldemberg, J.; et al., "1. Introduction: scope of the Assessment", IPCC SAR WG3 1996
- ^ Grippa, Pierpaolo; Schmittmann, Jochen; Suntheim, Felix (2019). "Climate Change and Financial Risk Central banks and financial regulators are starting to factor in climate change". Finance & Development. 56 (4). Retrieved 21 January 2022.
- ^ IPCC (2007), "Table SPM.1. In (book chapter) Summary for Policymakers" (PDF), in Core Writing Team; Pachauri, R.K; Reisinger, A. (eds.), Climate Change 2007: Synthesis Report, Contribution of Working Groups I, II and III to the Fourth Assessment Report of the Intergovernmental Panel on Climate Change, Geneva, Switzerland: IPCC, p. 8, ISBN 978-92-9169-122-7, retrieved 20 January 2022
- ^ Schneider, S. H.; et al., "19.4.2.2 Scenario analysis and analysis of stabilisation targets. In (book chapter) 19. Assessing Key Vulnerabilities and the Risk from Climate Change", Climate Change 2007: Impacts, Adaptation and Vulnerability, in IPCC AR4 WG2 2007, p. 801
- ^ a b c Yohe, G.W. (May 2010). "Addressing Climate Change through a Risk Management Lens". In Gulledge, J.; Richardson, L. J.; Adkins, L.; Seidel, S. (eds.). Assessing the Benefits of Avoided Climate Change: Cost-Benefit Analysis and Beyond. Proceedings of Workshop on Assessing the Benefits of Avoided Climate Change, March 16–17, 2009 (PDF). Arlington, Virginia, USA: Pew Center on Global Climate Change. Retrieved 18 January 2022.
- ^ Nordhaus, William (August 2018). "Projections and Uncertainties about Climate Change in an Era of Minimal Climate Policies". American Economic Journal: Economic Policy. 10 (3): 333–360. doi:10.1257/pol.20170046. ISSN 1945-7731. S2CID 158112579.
- ^ Ekholm, Tommi (December 2018). "Climatic Cost-benefit Analysis Under Uncertainty and Learning on Climate Sensitivity and Damages". Ecological Economics. 154: 99–106. Bibcode:2018EcoEc.154...99E. doi:10.1016/j.ecolecon.2018.07.024. S2CID 158212518. Retrieved 21 January 2022.
- ^ Hassler, John; Krusell, Per; Olovsson, Conny (2019). The consequences of uncertainty: Climate sensitivity and economic sensitivity to the climate. Sveriges Riksbank Working Paper Series, No. 369. Sveriges Riksbank. hdl:10419/215447. Retrieved 21 January 2022.
- ^ Fisher, B. S.; et al. (10 September 2007), "3.5.1.1 An iterative risk-management framework to articulate options. In (book chapter) 3: Issues related to mitigation in the long-term context", in Metz, B.; et al. (eds.), Climate Change 2007: Mitigation. Contribution of Working Group III to the Fourth Assessment Report of the Intergovernmental Panel on Climate Change (PDF), Cambridge, UK, and New York, N.Y.: Cambridge University Press, ISBN 978-0-521-88011-4, retrieved 19 January 2022
- ^ a b Toth, F. L .; et al., "10.1.4.1 Decision Making under Uncertainty. In (book chapter) 10. Decision-making Frameworks", Climate Change 2001: Mitigation. In IPCC TAR WG3 2001
- ^ Barker, T.; et al. (10 September 2007). "Article 2 of the Convention and mitigation. In (book chapter) Technical Summary". In Metz, B.; et al. (eds.). Climate Change 2007: Mitigation. Contribution of Working Group III to the Fourth Assessment Report of the Intergovernmental Panel on Climate Change (PDF). Cambridge, UK, and New York, N.Y.: Cambridge University Press. pp. 619–690. ISBN 978-0-521-88011-4. Retrieved 19 January 2022.
- ^ a b c Goldemberg, J.; et al., "1.3.2 Sequential decision making. In (book chapter) 1. Introduction: Scope of the assessment", IPCC SAR WG3 1996, p. 26 (32 of PDF)
- ^ Diederich, A. (1 January 2001), "Sequential Decision Making", in Smelser, Neil J.; Baltes, Paul B. (eds.), International Encyclopedia of the Social & Behavioral Sciences, Oxford: Pergamon, pp. 13917–13922, ISBN 978-0-08-043076-8, retrieved 27 April 2023
- ^ "Government publishes UK's Third Climate Change Risk Assessment". GOV.UK. Retrieved 22 January 2022.
- ^ United Nations Environment Programme (UNEP) (November 2012), "3.7 Results of later action scenarios. In (book chapter) Chapter 3: The emissions gap – an update" (PDF), The Emissions Gap Report 2012: A UNEP Synthesis Report, Nairobi, Kenya: UNEP, pp. 28–29, archived from the original (PDF) on 13 May 2016, retrieved 21 January 2022. Report website Archived 13 May 2016 at the Portuguese Web Archive, which includes the Appendix, and the Executive Summary in other languages.
- ^ Defra/HM Treasury (21 June 2005), Minutes of Evidence, Annex 3, in House of Lords 2005, HL 12-II (evidence)
- ^ a b Hunt, A, and Watkiss, P (2013). Portfolio Analysis: Decision Support Methods for Adaptation, MEDIATION Project, Briefing Note 5. Funded by the EC's 7FWP
- ^ a b Hunt, A., & Fraschini, F. (2020). Portfolio analysis as a means of managing uncertainties in climate change adaptation: Some initial reflections. Ekonomiaz, 97(1), 63–81.
- ^ Eriksen, Siri; Schipper, E. Lisa F.; Scoville-Simonds, Morgan; Vincent, Katharine; Adam, Hans Nicolai; Brooks, Nick; Harding, Brian; Khatri, Dil; Lenaerts, Lutgart; Liverman, Diana; Mills-Novoa, Megan (1 May 2021). "Adaptation interventions and their effect on vulnerability in developing countries: Help, hindrance or irrelevance?". World Development. 141 105383. doi:10.1016/j.worlddev.2020.105383. hdl:10852/85670. ISSN 0305-750X. S2CID 233539315.
- ^ a b Hunt, A. and Watkiss, P. (2011). Method for the Adaptation Economic Assessment to accompany the UK Climate Change Risk Assessment (CCRA), DEFRA, UK
- ^ Trust, Sandy; Saye, Lucy; Bettis, Oliver; Bedenham, Georgina; Hampshire, Oliver; Lenton, Timothy M.; Abrams, Jesse F (January 2025). "Planetary Solvency–finding our balance with nature Global risk management for human prosperity". Institute and Faculty of Actuaries. pp. 12–13 (Figure 2). Archived from the original on 17 January 2025. ● Trust et al. cite Kotz, Maximilian; Levermann, Anders; Wenz, Leonie (17 April 2024). "The economic commitment of climate change". Nature. 628 (8020): 551–557. doi:10.1038/s41586-024-07732-2. PMC 11236700. PMID 38914865.
- ^ Annual data: "Billion-Dollar Weather and Climate Disasters / United States Billion-Dollar Disaster Events 1980– (CPI-Adjusted)". National Centers for Environmental Information (NCEI), part of the National Oceanic and Atmospheric Administration (NOAA). Archived from the original on 13 January 2024. Click "Access data".
- ^ Smith, Adam B.; NOAA National Centers For Environmental Information (December 2020). "Billion-Dollar Weather and Climate Disasters: Overview / 2020 in Progress". NCDC.NOAA. National Centers for Environmental Information (NCDC, part of NOAA). doi:10.25921/stkw-7w73. Archived from the original on 10 December 2020. Retrieved 11 December 2020. and "Contiguous U.S. ranked fifth warmest during 2020; Alaska experienced its coldest year since 2012 / 2020 Billion Dollar Disasters and Other Notable Extremes". NCEI.NOAA.gov. NOAA. January 2021. Archived from the original on 8 January 2021. For 2021 data: "Calculating the Cost of Weather and Climate Disasters / Seven things to know about NCEI's U.S. billion-dollar disasters data". ncei.noaa.gov. 6 October 2017. Archived from the original on 11 January 2022.
- ^ Borenstein, Seth (17 April 2024). "New study calculates climate change's economic bite will hit about $38 trillion a year by 2049". Associated Press News. Archived from the original on 17 April 2024.
These damages are compared to a baseline of no climate change and are then applied against overall expected global growth in gross domestic product, said study lead author Max Kotz, a climate scientist. So while it's 19% globally less than it could have been with no climate change, in most places, income will still grow, just not as much because of warmer temperatures.
- ^ Bilal, Adrien; R. Känzig, Diego (August 2024). THE MACROECONOMIC IMPACT OF CLIMATE CHANGE: GLOBAL VS. LOCAL TEMPERATURE (PDF). 1050 Massachusetts Avenue Cambridge, MA 02138: NATIONAL BUREAU OF ECONOMIC RESEARCH. pp. 1, 4, 5, 38, 39. Retrieved 8 November 2024.
{{cite book}}: CS1 maint: location (link) - ^ "1°C global temperature rise could slash GDP by 12%, warns environmentalists". India Today. 15 October 2024. Retrieved 8 November 2024.
- ^ Tol, Richard S. J. (1 February 2024). "A meta-analysis of the total economic impact of climate change". Energy Policy. 185 113922. arXiv:2207.12199. Bibcode:2024EnPol.18513922T. doi:10.1016/j.enpol.2023.113922. ISSN 0301-4215.
- ^ World Meteorological Society (WMO) (2021). WMO Atlas of Mortality and Economic Losses from Weather, Climate and Water Extremes (1970–2019). https://library.wmo.int/idurl/4/57564
- ^ UNDRR (2023). The Report of the Midterm Review of the Implementation of the Sendai Framework for Disaster Risk Reduction 2015–2030. UNDRR: Geneva, Switzerland.
- ^ Bouwer, Laurens M. (2019), Mechler, Reinhard; Bouwer, Laurens M.; Schinko, Thomas; Surminski, Swenja (eds.), "Observed and Projected Impacts from Extreme Weather Events: Implications for Loss and Damage", Loss and Damage from Climate Change: Concepts, Methods and Policy Options, Climate Risk Management, Policy and Governance, Cham: Springer International Publishing, pp. 63–82, doi:10.1007/978-3-319-72026-5_3, ISBN 978-3-319-72026-5
- ^ Seneviratne, S.I., X. Zhang, M. Adnan, W. Badi, C. Dereczynski, A. Di Luca, S. Ghosh, I. Iskandar, J. Kossin, S. Lewis, F. Otto, I. Pinto, M. Satoh, S.M. Vicente-Serrano, M. Wehner, and B. Zhou, 2021: Weather and Climate Extreme Events in a Changing Climate. In Climate Change 2021: The Physical Science Basis. Contribution of Working Group I to the Sixth Assessment Report of the Intergovernmental Panel on Climate Change [Masson-Delmotte, V., P. Zhai, A. Pirani, S.L. Connors, C. Péan, S. Berger, N. Caud, Y. Chen, L. Goldfarb, M.I. Gomis, M. Huang, K. Leitzell, E. Lonnoy, J.B.R. Matthews, T.K. Maycock, T. Waterfield, O. Yelekçi, R. Yu, and B. Zhou (eds.)]. Cambridge University Press, Cambridge, United Kingdom and New York, NY, USA, pp. 1513–1766, doi:10.1017/9781009157896.013
- ^ a b Newman, R., Noy, I. The global costs of extreme weather that are attributable to climate change. Nat Commun 14, 6103 (2023). doi:10.1038/s41467-023-41888-1
- ^ Wei, Yi-Ming; Han, Rong; Wang, Ce; Yu, Biying; Liang, Qiao-Mei; Yuan, Xiao-Chen; Chang, Junjie; Zhao, Qingyu; Liao, Hua; Tang, Baojun; Yan, Jinyue; Cheng, Lijing; Yang, Zili; et al. (2020). "Self-preservation strategy for approaching global warming targets in the post-Paris Agreement era". Nat Commun. 11 (1): 1624. Bibcode:2020NatCo..11.1624W. doi:10.1038/s41467-020-15453-z. PMC 7156390. PMID 32286257.
- ^ a b c Becker, William S. (22 July 2024). "Opinion: Climate inflation is eating your paycheck — and it's only going to get worse". The Hill. Retrieved 24 July 2024.
- ^ a b "Home insurance rates are rising due to climate change. What could break that cycle?". NPR. 23 July 2024.
- ^ "How is climate change affecting food prices and inflation?". Al Jazeera. 11 July 2024. Retrieved 24 July 2024.
- ^ Borenstein, Seth (21 March 2024). "Higher temperatures mean higher food and other prices. A new study links climate shocks to inflation". AP News. Retrieved 24 July 2024.
- ^ a b Hoegh-Guldberg, O.; Jacob, D.; Taylor, M.; Bindi, M.; et al. (2018). "Chapter 3: Impacts of 1.5 °C Global Warming on Natural and Human Systems" (PDF). IPCC SR15 2018. p. 256. Archived (PDF) from the original on 15 November 2019. Retrieved 15 December 2019.
- ^ Koning Beals, Rachel (20 November 2019). "Global GDP will suffer at least a 3% hit by 2050 from unchecked climate change, say economists". MarketWatch. Archived from the original on 29 March 2020. Retrieved 29 March 2020.
- ^ Kompas, Tom; Pham, Van Ha; Che, Tuong Nhu (2018). "The Effects of Climate Change on GDP by Country and the Global Economic Gains From Complying With the Paris Climate Accord". Earth's Future. 6 (8): 1153–1173. Bibcode:2018EaFut...6.1153K. doi:10.1029/2018EF000922. hdl:1885/265534. ISSN 2328-4277.
- ^ Buchholz, Katharina (4 February 2022). "Will Climate Change End The Winter Olympics?". Forbes. Archived from the original on 12 January 2023. — Bucholz cites Scott, Daniel; Knowles, Natalie L. B.; Ma, Siyao; Rutty, Michelle; Steiger, Robert (10 January 2022). "Climate change and the future of the Olympic Winter Games: athlete and coach perspectives". Current Issues in Tourism. 26 (3): 480–495. doi:10.1080/13683500.2021.2023480. S2CID 245865532.
- ^ DeFries, Ruth; Edenhofer, Ottmar; Halliday, Alex; Heal, Geoffrey; et al. (September 2019). The missing economic risks in assessments of climate change impacts (PDF) (Report). Grantham Research Institute on Climate Change and the Environment, London School of Economics and Political Science.
- ^ Krogstrup, Signe; Oman, William (4 September 2019). Macroeconomic and Financial Policies for Climate Change Mitigation: A Review of the Literature (PDF) (Report). IMF working papers. doi:10.5089/9781513511955.001. ISBN 978-1-5135-1195-5. ISSN 1018-5941. S2CID 203245445.
- ^ Carrington, Damian (27 November 2019). "Climate emergency: world "may have crossed tipping points"". the Guardian.
- ^ Harris, Jonathan M.; Roach, Brian; Codur, Anne-Marie (2015). "The Economics of Global Climate Change" (PDF). Global Development and Environment Institute, Tufts University.
- ^ ""Climate Change Could Cut World Economy by $23 Trillion in 2050, Insurance Giant Warns: Poor Nations Would Be Particularly Hard Hit, But Few Would Escape, Swiss Re Said"". The New York Times. 22 April 2021. Retrieved 16 September 2025.
- ^ Irwin, Neil (17 January 2019). "Climate Change's Giant Impact on the Economy: 4 Key Issues". The New York Times. ISSN 0362-4331. Retrieved 22 January 2019.
- ^ Kotz, Maximilian; Levermann, Anders; Wenz, Leonie (17 April 2024). "The economic commitment of climate change". Nature. 628 (8008): 551–557. Bibcode:2024Natur.628..551K. doi:10.1038/s41586-024-07219-0. PMC 11023931. PMID 38632481.
- ^ Chart based on: Milman, Oliver (12 July 2022). "Nearly $2tn of damage inflicted on other countries by US emissions". The Guardian. Archived from the original on 12 July 2022. Guardian cites Callahan, Christopher W.; Mankin, Justin S. (12 July 2022). "National attribution of historical climate damages". Climatic Change. 172 (40): 40. Bibcode:2022ClCh..172...40C. doi:10.1007/s10584-022-03387-y. S2CID 250430339. Graphic's caption is from Callahan et al.
- ^ a b Cissé, G., R. McLeman, H. Adams, P. Aldunce, K. Bowen, D. Campbell-Lendrum, S. Clayton, K.L. Ebi, J. Hess, C. Huang, Q. Liu, G. McGregor, J. Semenza, and M.C. Tirado, 2022: Health, Wellbeing, and the Changing Structure of Communities. In: Climate Change 2022: Impacts, Adaptation and Vulnerability. Contribution of Working Group II to the Sixth Assessment Report of the Intergovernmental Panel on Climate Change [H.-O. Pörtner, D.C. Roberts, M. Tignor, E.S. Poloczanska, K. Mintenbeck, A. Alegría, M. Craig, S. Langsdorf, S. Löschke, V. Möller, A. Okem, B. Rama (eds.)]. Cambridge University Press, Cambridge, UK and New York, NY, USA, pp. 1041–1170, doi:10.1017/9781009325844.009
- ^ Working on a warmer planet The impact of heat stress on labour productivity and decent work (PDF). International Labour Organization. 2019. Retrieved 7 July 2019.
- ^ "International Labour Organization Warns of Heat-Related Job Losses". United Nations Climate Change. Retrieved 7 July 2019.
- ^ "Rapid global switch to renewable energy estimated to save millions of lives annually". London School of Hygiene & Tropical Medicine. 1 April 2019. Retrieved 2 June 2019.
- ^ COP24 special report: health and climate change (PDF). World Health Organization. 2018. p. 52. ISBN 978-92-4-151497-2.
- ^ "Letters to the editor". The Economist. 9 May 2019. ISSN 0013-0613. Retrieved 2 June 2019.
- ^ a b Kang, Suchul; Eltahir, Elfatih A. B. (31 July 2018). "North China Plain threatened by deadly heatwaves due to climate change and irrigation". Nature Communications. 9 (1): 3528. Bibcode:2023NatCo..14.3528K. doi:10.1038/s41467-023-38906-7. PMC 10319847. PMID 37402712.
- ^ Tandon, Ayesha (30 October 2024). "More than half a trillion hours of work lost in 2023 due to 'heat exposure'". Carbon Brief. Retrieved 1 November 2024.
- ^ Lemmen DS, Warren FJ, eds. (2004). Climate Change Impacts and Adaptation: A Canadian Perspective (PDF) (Report). Natural Resources Canada. ISBN 0-662-33123-0.[page needed]
- ^ Kristjanson P, Neufeldt H, Gassner A, Mango J, Kyazze FB, Desta S, et al. (2012). "Are food insecure smallholder households making changes in their farming practices? Evidence from East Africa". Food Security. 4 (3): 381–397. doi:10.1007/s12571-012-0194-z.
- ^ Gale J, Olmos S (4 September 2021). "When Hard Jobs Turn Hazardous". The New York Times. ISSN 0362-4331. Retrieved 4 September 2021.
- ^ Hertel TW, Rosch SD (June 2010). "Climate Change, Agriculture, and Poverty" (PDF). Applied Economic Perspectives and Policy. 32 (3): 355–385. doi:10.1093/aepp/ppq016. hdl:10986/3949. S2CID 55848822.
- ^ Beddington JR, Asaduzzaman M, Clark ME, Bremauntz AF, Guillou MD, Jahn MM, et al. (2012). "The role for scientists in tackling food insecurity and climate change". Agriculture & Food Security. 1 (10) 10. Bibcode:2012AgFS....1...10B. doi:10.1186/2048-7010-1-10.
- ^ Kulshreshtha SN (March 2011). "Climate Change, Prairie Agriculture and Prairie Economy: The new normal". Canadian Journal of Agricultural Economics. 59 (1): 19–44. Bibcode:2011CaJAE..59...19K. doi:10.1111/j.1744-7976.2010.01211.x.
- ^ a b Bezner Kerr, R., T. Hasegawa, R. Lasco, I. Bhatt, D. Deryng, A. Farrell, H. Gurney-Smith, H. Ju, S. Lluch-Cota, F. Meza, G. Nelson, H. Neufeldt, and P. Thornton, 2022: Chapter 5: Food, Fibre, and Other Ecosystem Products. In: Climate Change 2022: Impacts, Adaptation and Vulnerability. Contribution of Working Group II to the Sixth Assessment Report of the Intergovernmental Panel on Climate Change [H.-O. Pörtner, D.C. Roberts, M. Tignor, E.S. Poloczanska, K. Mintenbeck, A. Alegría, M. Craig, S. Langsdorf, S. Löschke, V. Möller, A. Okem, B. Rama (eds.)]. Cambridge University Press, Cambridge, UK and New York, NY, USA, doi:10.1017/9781009325844.007.
- ^ Hasegawa, Tomoko; Fujimori, Shinichiro; Takahashi, Kiyoshi; Yokohata, Tokuta; Masui, Toshihiko (29 January 2016). "Economic implications of climate change impacts on human health through undernourishment". Climatic Change. 136 (2): 189–202. Bibcode:2016ClCh..136..189H. doi:10.1007/s10584-016-1606-4.
- ^ Watts, Jonathan; Kirk, Ashley; McIntyre, Niamh; Gutiérrez, Pablo; Kommenda, Niko. "Half world's fossil fuel assets could become worthless by 2036 in net zero transition". the Guardian. Retrieved 2 February 2022.
- ^ Horowitz, Julia (13 December 2022). "Analysis: Inflation is finally falling. But the days when prices rose just 2% may never return | CNN Business". CNN. Retrieved 18 August 2024.
- ^ Ritchie, Greg (1 July 2024). "Carmignac Sees Energy Transition Fueling Inflation This Decade". Bloomberg. Retrieved 18 August 2024.
- ^ a b Borenstein, Seth (21 March 2024). "Higher temperatures mean higher food and other prices. A new study links climate shocks to inflation". AP News. Retrieved 18 August 2024.
Gernot Wagner, a climate economist at Columbia University's business school who wasn't part of the research, said what he calls 'climateflation' is 'all too real and the numbers are rather striking.'
- ^ Freedman, Andrew (25 March 2024). "The era of "climateflation" is here, study shows". Axios.
- ^ Budryk, Zack (25 March 2024). "Climate change driving up inflation in food prices: Study". The Hill.
- ^ Cohen, Rachel M. (17 April 2022). "How to fight the affordable housing and climate crises at once". Vox. Retrieved 18 August 2024.
A warming planet also threatens to put more homes into disrepair or wipe them out from the existing housing stock altogether, exacerbating our housing shortage. For example, if a fire or natural disaster doesn't completely destroy a unit, the owner has to decide whether to then repair or demolish it.
- ^ Pearce, D. (November 2003). "The Social Cost of Carbon and its Policy Implications" (PDF). Oxford Review of Economic Policy. 19 (3): 362–384. doi:10.1093/oxrep/19.3.362. Archived from the original (PDF) on 19 February 2009. Retrieved 10 January 2009.
- ^ IPCC, 2021: Annex VII: Glossary [Matthews, J.B.R., V. Möller, R. van Diemen, J.S. Fuglestvedt, V. Masson-Delmotte, C. Méndez, S. Semenov, A. Reisinger (eds.)]. In Climate Change 2021: The Physical Science Basis. Contribution of Working Group I to the Sixth Assessment Report of the Intergovernmental Panel on Climate Change [Masson-Delmotte, V., P. Zhai, A. Pirani, S.L. Connors, C. Péan, S. Berger, N. Caud, Y. Chen, L. Goldfarb, M.I. Gomis, M. Huang, K. Leitzell, E. Lonnoy, J.B.R. Matthews, T.K. Maycock, T. Waterfield, O. Yelekçi, R. Yu, and B. Zhou (eds.)]. Cambridge University Press, Cambridge, United Kingdom and New York, NY, USA, pp. 2215–2256, doi:10.1017/9781009157896.022
- ^ Barker, T.; et al. (2007). "Mitigation from a cross-sectoral perspective.". In B. Metz; et al. (eds.). In: Climate Change 2007: Mitigation. Contribution of Working Group III to the Fourth Assessment Report of the Intergovernmental Panel on Climate Change. Cambridge University Press, Cambridge, UK, and New York, N.Y., U.S.A. Archived from the original on 8 June 2011. Retrieved 20 May 2009.
- ^ IPCC, 2007: Technical Summary - Climate Change 2007: Mitigation. Contribution of Working Group III to the Fourth Assessment Report of the Intergovernmental Panel on Climate Change Archived 2009-12-11 at the Wayback Machine [B. Metz, O.R. Davidson, P.R. Bosch, R. Dave, L.A. Meyer (eds)], Cambridge University Press, Cambridge, United Kingdom and New York, NY, United States., XXX pp.
- ^ a b Stern, N. (2006). Stern Review on the Economics of Climate Change: Part III: The Economics of Stabilisation. HM Treasury, London: http://hm-treasury.gov.uk/sternreview_index.htm
- ^ Sampedro, Jon; Smith, Steven J.; Arto, Iñaki; González-Eguino, Mikel; Markandya, Anil; Mulvaney, Kathleen M.; Pizarro-Irizar, Cristina; Van Dingenen, Rita (2020). "Health co-benefits and mitigation costs as per the Paris Agreement under different technological pathways for energy supply". Environment International. 136 105513. Bibcode:2020EnInt.13605513S. doi:10.1016/j.envint.2020.105513. hdl:10810/44202. PMID 32006762. S2CID 211004787.
- ^ "The energy transition will be much cheaper than you think". The Economist. ISSN 0013-0613. Retrieved 16 November 2024.
- ^ a b "Can cost benefit analysis grasp the climate change nettle? And can we..." Oxford Martin School. Retrieved 11 November 2019.
- ^ Kotz, Mazimilian.; Levermann, Anders; Wenz, Leonie (17 April 2024). "The economic commitment of climate change". Nature. 628 (8008): 551–557. Bibcode:2024Natur.628..551K. doi:10.1038/s41586-024-07219-0. PMC 11023931. PMID 38632481.
- ^ "Below 1.5°C: a breakthrough roadmap to solve the climate crisis". One Earth. Retrieved 21 November 2022.
- ^ Teske, Sven, ed. (2 August 2019). Achieving the Paris Climate Agreement Goals: Global and Regional 100% Renewable Energy Scenarios with Non-energy GHG Pathways for +1.5°C and +2°C. Springer Science+Business Media. doi:10.1007/978-3-030-05843-2. ISBN 978-3030058425. S2CID 198078901 – via www.springer.com.
- ^ "The crucial intersection between gender and climate". European Investment Bank. Retrieved 29 December 2023.
- ^ Nations, United. "Finance & Justice". United Nations. Retrieved 29 December 2023.
- ^ IPCC (2022). Shukla, P.R.; Skea, J.; Slade, R.; Al Khourdajie, A.; et al. (eds.). Climate Change 2022: Mitigation of Climate Change. Contribution of Working Group III to the Sixth Assessment Report of the Intergovernmental Panel on Climate Change. Cambridge University Press. p. 300.: The global benefits of pathways limiting warming to 2°C (>67%) outweigh global mitigation costs over the 21st century, if aggregated economic impacts of climate change are at the moderate to high end of the assessed range, and a weight consistent with economic theory is given to economic impacts over the long term. This holds true even without accounting for benefits in other sustainable development dimensions or nonmarket damages from climate change (medium confidence).
- ^ IPCC (2022) Chapter 3: Mitigation pathways compatible with long-term goals in Climate Change 2022: Mitigation of Climate Change. Contribution of Working Group III to the Sixth Assessment Report of the Intergovernmental Panel on Climate Change, Cambridge University Press, Cambridge, United Kingdom and New York, NY, United States
- ^ Evans, Stuart; Mehling, Michael A.; Ritz, Robert A.; Sammon, Paul (16 March 2021). "Border carbon adjustments and industrial competitiveness in a European Green Deal" (PDF). Climate Policy. 21 (3): 307–317. Bibcode:2021CliPo..21..307E. doi:10.1080/14693062.2020.1856637. ISSN 1469-3062.
- ^ Barker, T.; et al. (2007). "Mitigation from a cross-sectoral perspective.". In B. Metz; et al. (eds.). In: Climate Change 2007: Mitigation. Contribution of Working Group III to the Fourth Assessment Report of the Intergovernmental Panel on Climate Change. Cambridge University Press, Cambridge, UK, and New York, N.Y., U.S.A. Archived from the original on 8 June 2011. Retrieved 20 May 2009.
- ^ a b c Fisher, B.S.; et al. (2007). "Issues related to mitigation in the long term context.". In B. Metz; et al. (eds.). Climate Change 2007: Mitigation. Contribution of Working Group III to the Fourth Assessment Report of the Intergovernmental Panel on Climate Change. Cambridge University Press. Archived from the original on 16 November 2018. Retrieved 20 May 2009.
- ^ a b IPCC (2007b). "Summary for Policymakers. In: Climate Change 2007: Mitigation. Contribution of Working Group III to the Fourth Assessment Report of the Intergovernmental Panel on Climate Change [B. Metz et al. Eds.]". Cambridge University Press, Cambridge, UK, and New York, N.Y., U.S.A. Archived from the original on 5 October 2018. Retrieved 20 May 2009.
- ^ Climate Equality: a Climate for the 99% (PDF). Oxfam International. November 2023. Archived (PDF) from the original on 23 November 2023. Fig. ES.2, Fig. ES.3, Box 1.2.
- ^ Gupta, S.; et al. (2007), "Policies, Instruments and Co-operative Arrangements.", in B. Metz; et al. (eds.), Climate Change 2007: Mitigation. Contribution of Working Group III to the Fourth Assessment Report of the Intergovernmental Panel on Climate Change, Cambridge University Press, Cambridge, UK, and New York, N.Y., U.S.A., archived from the original on 5 October 2018, retrieved 20 May 2009
- ^ a b c Banuri, T.; et al. (1996). Equity and Social Considerations. In: Climate Change 1995: Economic and Social Dimensions of Climate Change. Contribution of Working Group III to the Second Assessment Report of the Intergovernmental Panel on Climate Change (J. P. Bruce et al. eds.). Cambridge and New York: Cambridge University Press. ISBN 978-0521568548. PDF version: IPCC website.
- ^ a b Goldemberg, J.; et al. (1996). Introduction: scope of the assessment. In: Climate Change 1995: Economic and Social Dimensions of Climate Change. Contribution of Working Group III to the Second Assessment Report of the Intergovernmental Panel on Climate Change (J. P. Bruce et al. eds.). Cambridge and New York: Cambridge University Press. ISBN 978-0521568548. Web version: IPCC website.
- ^ Longo, Albert; Hoyos, David; Markandya, Anil (January 2011). "Willingness to Pay for Ancillary Benefits of Climate Change Mitigation". ResearchGate.
- ^ a b c d e f g h United Nations Environment Programme (2023). Adaptation Gap Report 2023: Underfinanced. Underprepared. Inadequate investment and planning on climate adaptation leaves world exposed. Nairobi. https://doi . org/10.59117/20.500.11822/43796
- ^ Hallegatte, Stephane; Rentschler, Jun; Rozenberg, Julie. 2019. Lifelines: The Resilient Infrastructure Opportunity. Sustainable Infrastructure;. Washington, DC: World Bank. hdl:10986/31805 License: CC BY 3.0 IGO.
- ^ Banuri, T.; et al. (1996). "3. Equity and Social Considerations". In Bruce, J. P.; et al. (eds.). Climate Change 1995: Economic and Social Dimensions of Climate Change. Contribution of Working Group III to the Second Assessment Report of the Intergovernmental Panel on Climate Change (PDF). Cambridge, UK, and New York, N.Y.: Cambridge University Press. pp. 79–124. ISBN 978-0-521-56854-8. Retrieved 19 January 2022.
- ^ Halsnæs, K.; et al. (2007). "2.6.4 Equity consequences of different policy instruments. In (book chapter) 2. Framing issues" (PDF). In Metz, B.; et al. (eds.). Climate Change 2007: Mitigation. Contribution of Working Group III to the Fourth Assessment Report of the Intergovernmental Panel on Climate Change (PDF). Cambridge, UK, and New York, N.Y.: Cambridge University Press. pp. 117–168. ISBN 978-0-521-88011-4. Retrieved 19 January 2022.
- ^ Hepburn, C. (28 February 2005). "Memorandum by Dr Cameron Hepburn, St Hugh's College, University of Oxford.". The Economics of Climate Change. Second Report of 2005–2006 Volume II, HL Paper No. 12-II. House of Lords Economic Affairs Select Committee. ISBN 978-0-19-957328-8. Retrieved 6 April 2010.
- ^ Helm, D. (1 November 2008). "Climate-change policy: why has so little been achieved?". Oxford Review of Economic Policy. 24 (2): 211–238. doi:10.1093/oxrep/grn014. Archived from the original on 1 May 2011. Retrieved 6 April 2010.
- ^ a b Munasinghe, M.; et al. (1996). "5. Applicability of Techniques of Cost-Benefit Analysis to Climate Change". In Bruce, J. P.; et al. (eds.). Climate Change 1995: Economic and Social Dimensions of Climate Change. Contribution of Working Group III to the Second Assessment Report of the Intergovernmental Panel on Climate Change (PDF). Cambridge, UK, and New York, N.Y.: Cambridge University Press. pp. 145–178. ISBN 978-0-521-56854-8.
- ^ Diffenbaugh, Noah S.; Burke, Marshall (2019). "Global warming has increased global economic inequality". Proceedings of the National Academy of Sciences. 116 (20): 9808–9813. Bibcode:2019PNAS..116.9808D. doi:10.1073/pnas.1816020116. ISSN 0027-8424. PMC 6525504. PMID 31010922.
- ^ Tol, Richard S. J (1 April 2009). "The Economic Effects of Climate Change". Journal of Economic Perspectives. 23 (2): 29–51. doi:10.1257/jep.23.2.29. ISSN 0895-3309. S2CID 15530729.
- ^ "Linking Climate and Inequality". IMF. Retrieved 27 April 2023.
- ^ Herweijer, Celine; Ranger, Nicola; Ward, Robert E T (1 July 2009). "Adaptation to Climate Change: Threats and Opportunities for the Insurance Industry". The Geneva Papers on Risk and Insurance – Issues and Practice. 34 (3): 360–380. doi:10.1057/gpp.2009.13. ISSN 1468-0440. S2CID 154387945.
- ^ Flavelle, Christopher (22 April 2021). "Climate Change Could Cut World Economy by $23 Trillion in 2050, Insurance Giant Warns". The New York Times. Retrieved 20 January 2022.
- ^ "The economics of climate change". Swiss Re Institute. 22 April 2021. Retrieved 20 January 2022.
- ^ Cho, Renee (20 June 2019). "How Climate Change Impacts the Economy". State of the Planet. Columbia University, Columbia Climate School, Climate, Earth, Society. Retrieved 20 January 2022.
- ^ UNEP (1 December 2020). "Figure ES.8. Per capita and absolute CO 2 consumption emissions by four global income groups for 2015. In (book chapter) Executive Summary". Emissions Gap Report 2020. United Nations Environment Programme. p. xxv. Retrieved 21 January 2022.
- ^ a b Cozzi, Laura; Chen, Olivia; Kim, Hyeji (22 February 2023). "The world's top 1% of emitters produce over 1000 times more CO2 than the bottom 1%". iea.org. International Energy Agency (IEA). Archived from the original on 3 March 2023. "Methodological note: ... The analysis accounts for energy-related CO2, and not other greenhouse gases, nor those related to land use and agriculture."
- ^ Ripple, William J; Wolf, Christopher; Newsome, Thomas M; Barnard, Phoebe; Moomaw, William R (5 November 2019). "World Scientists' Warning of a Climate Emergency". BioScience. 70 biz088: 8–12. doi:10.1093/biosci/biz088. hdl:1808/30278. Retrieved 25 November 2022.
Economic and population growth are among the most important drivers of increases in CO2 emissions from fossil fuel combustion...
- ^ Wiedmann, Thomas; Lenzen, Manfred; Keyßer, Lorenz T.; Steinberger, Julia K. (2020). "Scientists' warning on affluence". Nature Communications. 11 (3107): 3107. Bibcode:2020NatCo..11.3107W. doi:10.1038/s41467-020-16941-y. PMC 7305220. PMID 32561753.
- ^ "2021–2022 EIB Climate Survey, part 3 of 3: The economic and social impact of the green transition". EIB.org. Retrieved 4 April 2022.
- ^ "1.5 °C degrowth scenarios suggest need for new mitigation pathways". phys.org. Retrieved 14 June 2021.Alternative Link Archived 10 April 2023 at the Wayback Machine
- ^ Keyßer, Lorenz T.; Lenzen, Manfred (11 May 2021). "1.5 °C degrowth scenarios suggest the need for new mitigation pathways". Nature Communications. 12 (1): 2676. Bibcode:2021NatCo..12.2676K. doi:10.1038/s41467-021-22884-9. ISSN 2041-1723. PMC 8113441. PMID 33976156.
Available under CC BY 4.0.
- ^ Hickel, Jason; Kallis, Giorgos (6 June 2020). "Is Green Growth Possible?". New Political Economy. 25 (4): 469–486. doi:10.1080/13563467.2019.1598964. ISSN 1356-3467. S2CID 159148524.
- ^ "Energy Transition Investment Hit $500 Billion in 2020 – For First Time". BloombergNEF. (Bloomberg New Energy Finance). 19 January 2021. Archived from the original on 19 January 2021.
- ^ Catsaros, Oktavia (26 January 2023). "Global Low-Carbon Energy Technology Investment Surges Past $1 Trillion for the First Time". Figure 1: Bloomberg NEF (New Energy Finance). Archived from the original on 22 May 2023.
Defying supply chain disruptions and macroeconomic headwinds, 2022 energy transition investment jumped 31% to draw level with fossil fuels
{{cite news}}: CS1 maint: location (link) - ^ "Global Clean Energy Investment Jumps 17%, Hits $1.8 Trillion in 2023, According to BloombergNEF Report". BNEF.com. Bloomberg NEF. 30 January 2024. Archived from the original on 28 June 2024.
Start years differ by sector but all sectors are present from 2020 onwards.
- ^ 2024 data: "Energy Transition Investment Trends 2025 / Abridged report" (PDF). BloombergNEF. 30 January 2025. p. 9. Archived (PDF) from the original on 2 February 2025.
- ^ "The global backlash against climate policies has begun". The Economist. ISSN 0013-0613. Retrieved 11 November 2023.
- ^ a b "What is a carbon price and why do we need one?". Grantham Research Institute on climate change and the environment. Retrieved 12 March 2020.
- ^ "Understanding carbon pricing". Carbon Pricing Leadership Coalition. Retrieved 12 March 2020.
- ^ "Which is better: carbon tax or cap-and-trade?". Grantham Research Institute on climate change and the environment. Retrieved 12 March 2020.
- ^ Implementing a US carbon tax : challenges and debates. Parry, Ian W. H. (Ian William Holmes), 1965–, Morris, Adele Cecile, 1963–, Williams, Roberton C., 1972–. New York. 2015. ISBN 978-1-138-81415-8. OCLC 891001377.
{{cite book}}: CS1 maint: location missing publisher (link) CS1 maint: others (link) - ^ "Pros and cons of a carbon tax » Yale Climate Connections". Yale Climate Connections. 20 July 2016. Retrieved 12 March 2020.
- ^ Chen, Zi-yue; Nie, Pu-yan (1 December 2016). "Effects of carbon tax on social welfare: A case study of China". Applied Energy. 183: 1607–1615. Bibcode:2016ApEn..183.1607C. doi:10.1016/j.apenergy.2016.09.111. ISSN 0306-2619.
- ^ Irfan, Umair (17 May 2019). "Fossil fuels are underpriced by a whopping $5.2 trillion". Vox. Retrieved 23 November 2019.
- ^ a b "Cap and Trade: Key Terms Glossary" (PDF). Climate Change 101. Center for Climate and Energy Solutions. January 2011. Archived from the original (PDF) on 5 October 2017. Retrieved 27 October 2014.
- ^ "Which is better: carbon tax or cap-and-trade?". Grantham Research Institute on climate change and the environment. Retrieved 12 March 2020.
- ^ a b Goulder, Lawrence; Schein, Andrew (August 2013). "Carbon Taxes vs. Cap and Trade: A Critical Review". NBER Working Paper Series. Cambridge, MA. doi:10.3386/w19338. S2CID 158104668.
- ^ Thomas Wiedmann; Manfred Lenzen; Lorenz T. Keyßer; Julia Steinberger (19 June 2020). "Scientists' warning on affluence". Nature Communications. 11 (1): 3107. Bibcode:2020NatCo..11.3107W. doi:10.1038/s41467-020-16941-y. PMC 7305220. PMID 32561753.
- ^ "Why GDP is no longer the most effective measure of economic success". www.worldfinance.com. Retrieved 17 September 2020.
- ^ Kapoor, Amit; Debroy, Bibek (4 October 2019). "GDP Is Not a Measure of Human Well-Being". Harvard Business Review. Retrieved 20 September 2020.
- ^ Hickel, Jason; Hallegatte, Stéphane (2021). "Can we live within environmental limits and still reduce poverty? Degrowth or decoupling?". Development Policy Review. 40 e12584. doi:10.1111/dpr.12584. ISSN 1467-7679. S2CID 239636388.
- ^ Landler, Mark; Sengupta, Somini (21 January 2020). "Trump and the Teenager: A Climate Showdown at Davos". The New York Times. Retrieved 20 September 2020.
- ^ a b "Skills for Green Jobs: A Global View" (PDF). Retrieved 8 November 2021.
- ^ van der Ree, Kees (1 June 2019). "Promoting Green Jobs: Decent Work in the Transition to Low-Carbon, Green Economies". International Development Policy | Revue internationale de politique de développement (11): 248–271. doi:10.4000/poldev.3107. ISSN 1663-9375. S2CID 197784487.
- ^ Hickel, Jason; Kallis, Giorgos; Jackson, Tim; O'Neill, Daniel W.; Schor, Juliet B.; Steinberger, Julia K.; et al. (12 December 2022). "Degrowth can work — here's how science can help". Nature. 612 (7940): 400–403. Bibcode:2022Natur.612..400H. doi:10.1038/d41586-022-04412-x. PMID 36510013. S2CID 254614532.
Researchers in ecological economics call for a different approach — degrowth. Wealthy economies should abandon growth of gross domestic product (GDP) as a goal, scale down destructive and unnecessary forms of production to reduce energy and material use, and focus economic activity around securing human needs and well-being.
- ^ Foster, John Bellamy (1 July 2023). "Planned Degrowth: Ecosocialism and Sustainable Human Development". Monthly Review. Retrieved 24 August 2023.
Degrowth, in this sense, is not aimed at austerity, but at finding a "prosperous way down" from our current extractivist, wasteful, ecologically unsustainable, maldeveloped, exploitative, and unequal, class-hierarchical world. Continued growth would occur in some areas of the economy, made possible by reductions elsewhere. Spending on fossil fuels, armaments, private jets, sport utility vehicles, second homes, and advertising would need to be cut in order to provide room for growth in such areas as regenerative agriculture, food production, decent housing, clean energy, accessible health care, universal education, community welfare, public transportation, digital connectivity, and other areas related to green production and social needs.
- ^ Borowy, Iris; Aillon, Jean-Louis (1 August 2017). "Sustainable health and degrowth: Health, health care and society beyond the growth paradigm". Social Theory & Health. 15 (3): 346–368. doi:10.1057/s41285-017-0032-7. ISSN 1477-822X. S2CID 152144759.
- ^ Aillon, J.; Cardito, M. (2020). "Health and Degrowth in times of Pandemic".
- ^ Missoni, Eduardo (1 July 2015). "Degrowth and health: local action should be linked to global policies and governance for health". Sustainability Science. 10 (3): 439–450. Bibcode:2015SuSc...10..439M. doi:10.1007/s11625-015-0300-1. ISSN 1862-4057. S2CID 55806403.
Volume and increase of spending in the health sector contribute to economic growth, but do not consistently relate with better health. Instead, unsatisfactory health trends, health systems' inefficiencies, and high costs are linked to the globalization of a growth society dominated by neoliberal economic ideas and policies of privatization, deregulation, and liberalization. A degrowth approach, understood as frame that connects diverse ideas, concepts, and proposals alternative to growth as a societal objective, can contribute to better health and a more efficient use of health systems.
- ^ Büchs, Milena; Koch, Max (1 January 2019). "Challenges for the degrowth transition: The debate about wellbeing". Futures. 105: 155–165. doi:10.1016/j.futures.2018.09.002. ISSN 0016-3287. S2CID 149731503.
The first part reviews the arguments that degrowth proponents have put forward on the ways in which degrowth can maintain or even improve wellbeing. It also outlines why the basic needs approach is most suitable for conceptualising wellbeing in a degrowth context. The second part considers additional challenges to maintaining or even improving current levels of wellbeing under degrowth
- ^ Kostakis, Vasilis; Latoufis, Kostas; Liarokapis, Minas; Bauwens, Michel (1 October 2018). "The convergence of digital commons with local manufacturing from a degrowth perspective: Two illustrative cases". Journal of Cleaner Production. 197: 1684–1693. Bibcode:2018JCPro.197.1684K. doi:10.1016/j.jclepro.2016.09.077. ISSN 0959-6526. S2CID 43975556.
A large part of the activity taking place under the CBPP umbrella presents a lot of similarities with the degrowth concept of unpaid work and decommodification (Nierling, 2012). The majority of "peers" engaged in commons-oriented projects are motivated by passion, communication, learning and enrichment (Benkler, 2006, 2011). Kostakis et al. (2015, 2016) have only theoretically and conceptually explored the contours of an emerging productive model that builds on the convergence of the digital commons of knowledge, software and design with local manufacturing technologies. They tentatively call it "design global, manufacture local"
- ^ Scarrow, Ryan (April 2018). "Work and degrowth". Nature Sustainability. 1 (4): 159. Bibcode:2018NatSu...1..159S. doi:10.1038/s41893-018-0057-5. ISSN 2398-9629. S2CID 149576398.
- ^ Haberl, Helmut; Wiedenhofer, Dominik; Virág, Doris; Kalt, Gerald; Plank, Barbara; Brockway, Paul; Fishman, Tomer; Hausknost, Daniel; Krausmann, Fridolin; Leon-Gruchalski, Bartholomäus; Mayer, Andreas; Pichler, Melanie; Schaffartzik, Anke; Sousa, Tânia; Streeck, Jan; Creutzig, Felix (10 June 2020). "A systematic review of the evidence on decoupling of GDP, resource use and GHG emissions, part II: synthesizing the insights". Environmental Research Letters. 15 (6): 065003. Bibcode:2020ERL....15f5003H. doi:10.1088/1748-9326/ab842a. ISSN 1748-9326. S2CID 216453887.
- ^ Hickel, Jason (3 October 2021). "What does degrowth mean? A few points of clarification". Globalizations. 18 (7): 1105–1111. Bibcode:2021Glob...18.1105H. doi:10.1080/14747731.2020.1812222. ISSN 1474-7731. S2CID 221800076.
- ^ Millward-Hopkins, Joel; Steinberger, Julia K.; Rao, Narasimha D.; Oswald, Yannick (1 November 2020). "Providing decent living with minimum energy: A global scenario". Global Environmental Change. 65 102168. Bibcode:2020GEC....6502168M. doi:10.1016/j.gloenvcha.2020.102168. ISSN 0959-3780. S2CID 224977493.
- ^ a b c d e f Markandya, A.; et al. (2001). "Costing Methodologies. In: Climate Change 2001: Mitigation. Contribution of Working Group III to the Third Assessment Report of the Intergovernmental Panel on Climate Change [B. Metz et al. Eds.]". Cambridge University Press, Cambridge, UK, and New York, N.Y., U.S.A. pp. 474–476. Archived from the original on 5 October 2018. Retrieved 10 January 2010.
- ^ "Chapter 2: Emissions trends and drivers" (PDF). Ipcc_Ar6_Wgiii. 2022. Archived from the original (PDF) on 4 April 2022. Retrieved 10 April 2022.
- ^ Toth, F.L.; et al. (2001). "Decision-making Frameworks". In B. Metz; et al. (eds.). Climate Change 2001: Mitigation. Contribution of Working Group III to the Third Assessment Report of the Intergovernmental Panel on Climate Change. Cambridge University Press, Cambridge, UK, and New York, N.Y., U.S.A. pp. 607–609. Archived from the original on 13 October 2012. Retrieved 10 January 2010.
- ^ a b John Weyant. (2017) Some Contributions of Integrated Assessment Models of Global Climate Change. Review of Environmental Economics and Policy 11:1, 115–137
- ^ Halsnæs, K.; et al. (2007). "Framing issues". In B. Metz; et al. (eds.). Climate Change 2007: Mitigation. Contribution of Working Group III to the Fourth Assessment Report of the Intergovernmental Panel on Climate Change. Cambridge University Press, Cambridge, UK, and New York, N.Y., U.S.A. p. 127. Archived from the original on 5 October 2018. Retrieved 20 May 2009.
- ^ IPCC (2007c). "Annex. In: Climate Change 2007: Mitigation. Contribution of Working Group III to the Fourth Assessment Report of the Intergovernmental Panel on Climate Change (B. Metz et al. Eds.)". Cambridge University Press, Cambridge, UK, and New York, N.Y., U.S.A. p. 819. Archived from the original on 5 October 2018. Retrieved 20 May 2009.
- ^ Arrow, K.J.; et al. (1996b). Intertemporal Equity, Discounting, and Economic Efficiency. In: Climate Change 1995: Economic and Social Dimensions of Climate Change. Contribution of Working Group III to the Second Assessment Report of the Intergovernmental Panel on Climate Change (J.P. Bruce et al. (eds.)). This version: Printed by Cambridge University Press, Cambridge, UK, and New York, N.Y., U.S.A.. PDF version: Prof. Joseph Stiglitz's web page at Columbia University. pp. 125–144. ISBN 978-0-521-56854-8. Retrieved 11 February 2010.
- ^ Nordhaus, William (2014). "Estimates of the Social Cost of Carbon: Concepts and Results from the DICE-2013R Model and Alternative Approaches". Journal of the Association of Environmental and Resource Economists. 1: 273–312. Bibcode:2014AEREJ...1..273N. doi:10.1086/676035. S2CID 155012348.
- ^ IPCC (2001a). "Summary for Policymakers. In: Climate Change 2001: Mitigation. Contribution of Working Group III to the Third Assessment Report of the Intergovernmental Panel on Climate Change [B. Metz et al. Eds.]". Cambridge University Press, Cambridge, UK, and New York, N.Y., U.S.A. Archived from the original on 5 October 2018. Retrieved 10 January 2010.
- ^ Nordhaus, W. (2008) A Question of Balance: Weighing the Options on Global Warming Policies Archived 25 May 2017 at the Wayback Machine Yale University Press pp. 10–11
- ^ Ackerman, F. (2007) Debating Climate Economics: The Stern Review vs. Its Critics Archived 3 October 2016 at the Wayback Machine Global Development and Environment Institute
- ^ Anthoff, D., R.S.J.Tol, and G.W.Yohe (2009), 'Discounting for Climate Change', Economics – the Open-Access, Open-Assessment E-Journal Archived 13 November 2023 at the Wayback Machine, 3, (2009–24), pp. 1–24.
- ^ U.S. Environmental Protection Agency (EPA) December 2010, Guidelines for Preparing Economic Analyses: Discounting Future Benefits and Costs
- ^ "The Use of Discount Rates" (PDF). European Commission – European Commission. Retrieved 24 August 2020.
- ^ Tallarita, Roberto (9 August 2021). "The Limits of Portfolio Primacy". SSRN 3912977.
- ^ "Paying the Cost of Climate Change". Brookings. Retrieved 7 December 2023.
- ^ Mintz-Woo, Kian; Leroux, Justin (November 2021). "What do climate change winners owe, and to whom?". Economics & Philosophy. 37 (3): 462–483. doi:10.1017/S0266267120000449. hdl:10468/11123. ISSN 0266-2671.
- ^ Rosenbloom, Daniel; Markard, Jochen; Geels, Frank W.; Fuenfschilling, Lea (21 April 2020). "Why carbon pricing is not sufficient to mitigate climate change—and how "sustainability transition policy" can help". Proceedings of the National Academy of Sciences. 117 (16): 8664–8668. Bibcode:2020PNAS..117.8664R. doi:10.1073/pnas.2004093117. ISSN 0027-8424. PMC 7183151. PMID 32269079.
- ^ Bartolomeo, Giovanni Di; Fard, Behnaz Minooei; Semmler, Willi (June 2023). "Greenhouse gases mitigation: global externalities and short-termism" (PDF). Environment and Development Economics. 28 (3): 230–241. Bibcode:2023EDevE..28..230D. doi:10.1017/S1355770X22000249. ISSN 1355-770X.
- ^ Papaoikonomou, Eleni; Ginieis, Matías; Alarcón, Amado Alarcón (15 November 2023). "The Problematics of Being an Ethical Consumer in the Marketplace: Unpacking the Concept of Ethical Consumer Literacy". Journal of Public Policy & Marketing. 43 (2): 133–150. doi:10.1177/07439156231202746. ISSN 0743-9156.
Instead of placing the responsibility on individual consumers, governments should increase ethical consumer literacy.
- ^ "AR6 Synthesis Report: Climate Change 2023 — IPCC". Retrieved 18 April 2023.
- ^ Hoang, Nguyen Tien; Kanemoto, Keiichiro (June 2021). "Mapping the deforestation footprint of nations reveals growing threat to tropical forests". Nature Ecology & Evolution. 5 (6): 845–853. Bibcode:2021NatEE...5..845H. doi:10.1038/s41559-021-01417-z. ISSN 2397-334X. PMID 33782576.
- ^ "Supermarket food could soon carry eco-labels, says study". 9 August 2022. Retrieved 7 December 2023.
- ^ Clark, Michael; Springmann, Marco; Rayner, Mike; Scarborough, Peter; Hill, Jason; Tilman, David; Macdiarmid, Jennie I.; Fanzo, Jessica; Bandy, Lauren; Harrington, Richard A. (16 August 2022). "Estimating the environmental impacts of 57,000 food products". Proceedings of the National Academy of Sciences. 119 (33): e2120584119. Bibcode:2022PNAS..11920584C. doi:10.1073/pnas.2120584119. hdl:2164/20863. ISSN 0027-8424. PMC 9388151. PMID 35939701.
{{cite journal}}: CS1 maint: article number as page number (link) - ^ Kolcava, Dennis; Smith, E. Keith; Bernauer, Thomas (January 2023). "Cross-national public acceptance of sustainable global supply chain policy instruments". Nature Sustainability. 6 (1): 69–80. doi:10.1038/s41893-022-00984-8. ISSN 2398-9629.
- ^ van der Ree, Kees (1 June 2019). "Promoting Green Jobs: Decent Work in the Transition to Low-Carbon, Green Economies". International Development Policy | Revue internationale de politique de développement (11): 248–271. doi:10.4000/poldev.3107. ISSN 1663-9375. S2CID 197784487.
- ^ Semieniuk, Gregor; Holden, Philip B.; Mercure, Jean-Francois; Salas, Pablo; Pollitt, Hector; Jobson, Katharine; Vercoulen, Pim; Chewpreecha, Unnada; Edwards, Neil R.; Viñuales, Jorge E. (June 2022). "Stranded fossil-fuel assets translate to major losses for investors in advanced economies". Nature Climate Change. 12 (6): 532–538. Bibcode:2022NatCC..12..532S. doi:10.1038/s41558-022-01356-y. hdl:11385/223918. ISSN 1758-6798. S2CID 249069181.
- News article: "People in US and UK face huge financial hit if fossil fuels lose value, study shows". The Guardian. 26 May 2022. Retrieved 22 June 2022.
Sources
[edit]- IPCC AR5 WG2 A (2014), Field, C.B.; et al. (eds.), Climate Change 2014: Impacts, Adaptation, and Vulnerability. Part A: Global and Sectoral Aspects. Contribution of Working Group II (WG2) to the Fifth Assessment Report (AR5) of the Intergovernmental Panel on Climate Change (IPCC), Cambridge University Press, archived from the original on 16 April 2014
{{citation}}: CS1 maint: numeric names: authors list (link). Archived - IPCC (2018). Masson-Delmotte, V.; Zhai, P.; Pörtner, H. O.; Roberts, D.; et al. (eds.). Global Warming of 1.5 °C. An IPCC Special Report on the impacts of global warming of 1.5 °C above pre-industrial levels and related global greenhouse gas emission pathways, in the context of strengthening the global response to the threat of climate change, sustainable development, and efforts to eradicate poverty (PDF). Intergovernmental Panel on Climate Change.
- IPCC TAR WG2 (2001), McCarthy, J. J.; Canziani, O. F.; Leary, N. A.; Dokken, D. J.; White, K. S. (eds.), Climate Change 2001: Impacts, Adaptation and Vulnerability, Contribution of Working Group II to the Third Assessment Report of the Intergovernmental Panel on Climate Change, Cambridge University Press, ISBN 978-0-521-80768-5, retrieved 2 August 2019
{{citation}}: CS1 maint: numeric names: authors list (link) (pb: 0-521-01500-6). - IPCC AR4 WG2 (2007), Parry, M.L.; Canziani, O.F.; Palutikof, J.P.; van der Linden, P.J.; Hanson, C.E. (eds.), Climate Change 2007: Impacts, Adaptation and Vulnerability, Contribution of Working Group II to the Fourth Assessment Report of the Intergovernmental Panel on Climate Change, Cambridge University Press, ISBN 978-0-521-88010-7, archived from the original on 10 November 2018, retrieved 22 January 2012
{{citation}}: CS1 maint: numeric names: authors list (link) (pb: 978-0-521-70597-4).
- House of Lords (21 June 2005), The Economics of Climate Change, the Second Report of the 2005–2006 session (HL 12-I and HL 12-II), produced by the UK Parliament House of Lords (HOL) Economics Affairs Select Committee, London, UK: The Stationery Office. High-resolution PDF versions: HL 12-I (report), HL 12-II (evidence).
- IPCC SAR WG3 (1996), Bruce, J. P.; Lee, H.; Haites, E. F. (eds.), Climate Change 1995: Economic and Social Dimensions of Climate Change (PDF), Contribution of Working Group III to the Second Assessment Report of the Intergovernmental Panel on Climate Change, Cambridge, UK: Cambridge University Press, ISBN 978-0-521-56051-1
{{citation}}: CS1 maint: numeric names: authors list (link) (pb: 0-521-56854-4)
- IPCC TAR WG3 (2001), Metz, B.; Davidson, O.; Swart, R.; Pan, J. (eds.), Climate Change 2001: Mitigation (PDF), Contribution of Working Group III to the Third Assessment Report of the Intergovernmental Panel on Climate Change, Cambridge University Press, ISBN 978-0-521-80769-2, retrieved 17 January 2022
{{citation}}: CS1 maint: numeric names: authors list (link) (pb: 0-521-01502-2).
- IPCC AR4 WG3 (2007), Metz, B.; Davidson, O. R.; Bosch, P. R.; Dave, R.; Meyer, L. A. (eds.), Climate Change 2007: Mitigation of Climate Change (PDF), Contribution of Working Group III to the Fourth Assessment Report of the Intergovernmental Panel on Climate Change, Cambridge University Press, ISBN 978-0-521-88011-4
{{citation}}: CS1 maint: numeric names: authors list (link) (pb: 978-0-521-70598-1).
External links
[edit]- Centre for Climate Change Economics and Policy at University of Leeds and London School of Economics.
- "The economics of climate change". 2020 lecture by William Nordhaus, Sterling Professor of Economics at Yale University
- "From Climate Crisis to Real Prosperity". 2020 Reith lecture by Mark Carney, COP26 finance advisor