Transparent Idaho
Visit Transparent Idaho
2024-2025
2023-2024
2022-2023
2021-2022
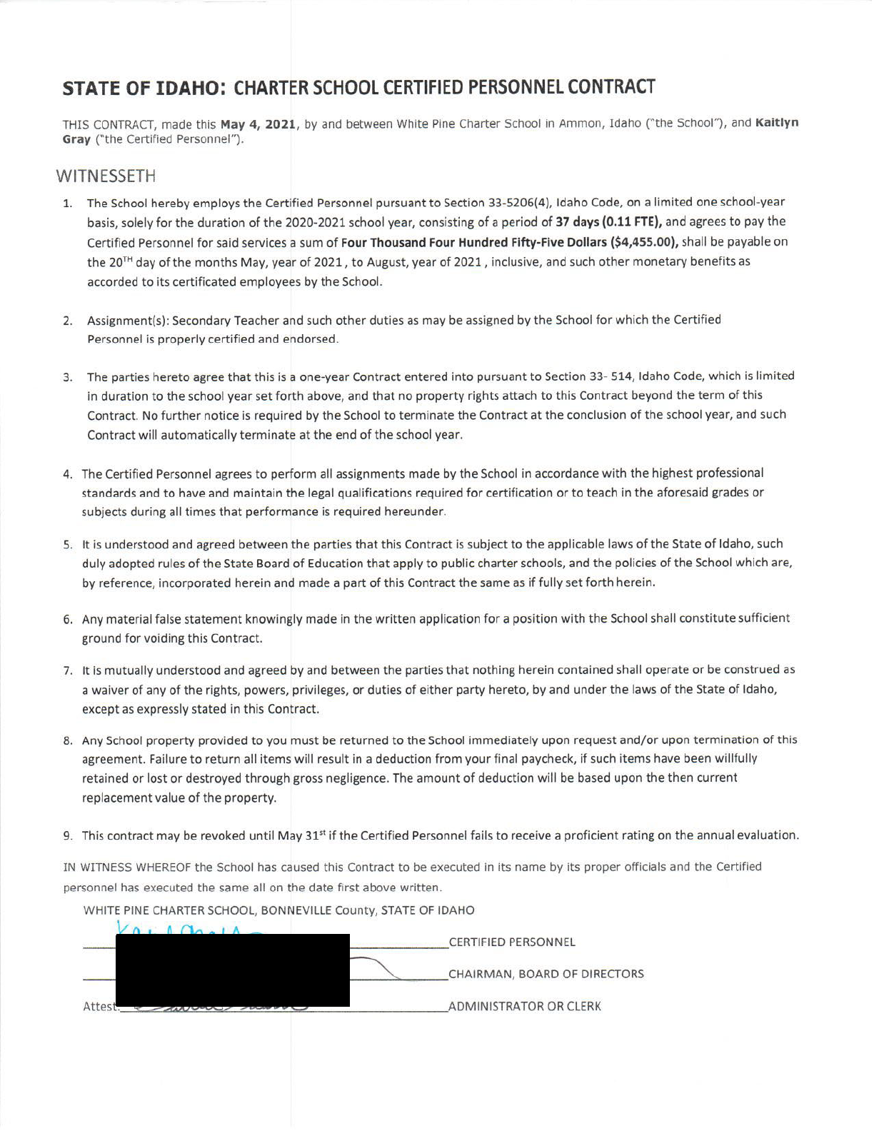
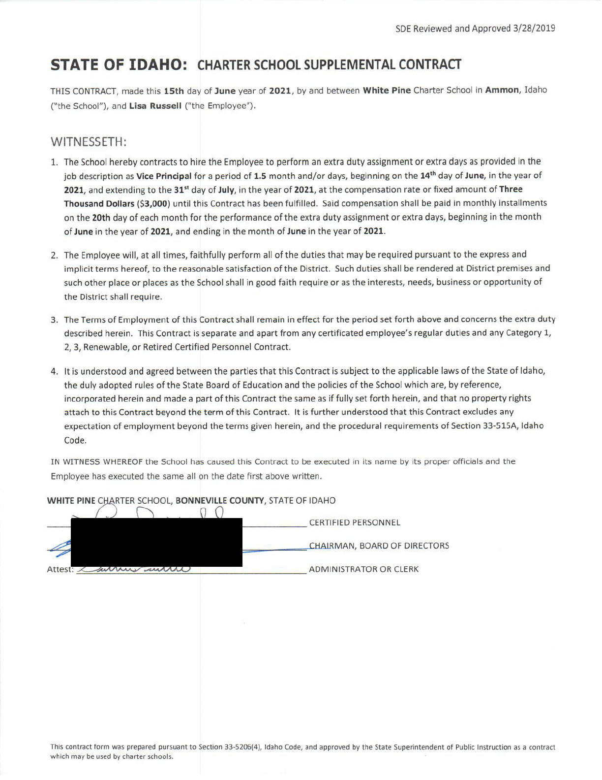
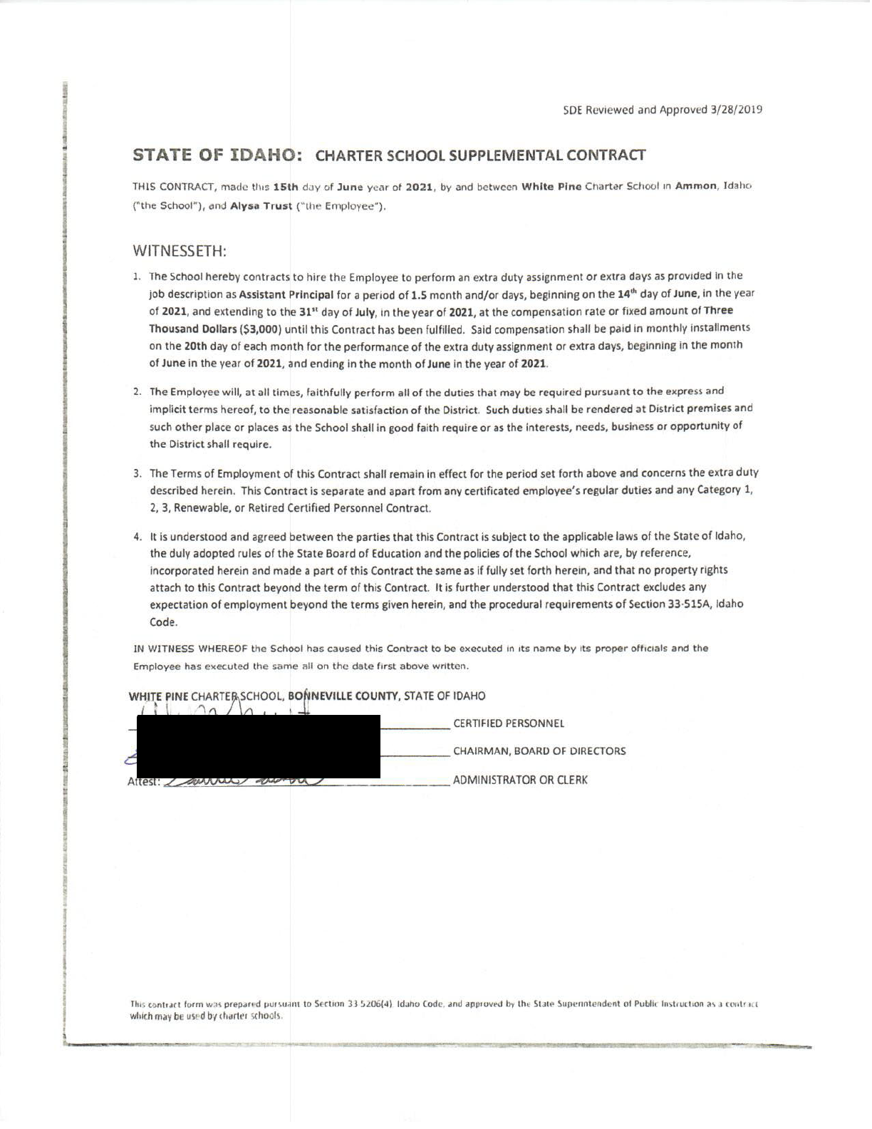
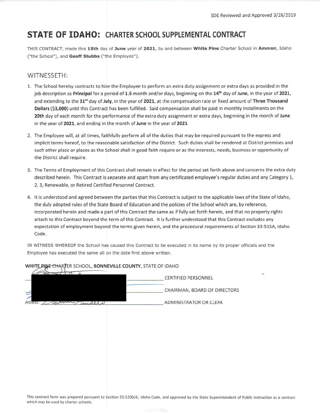
2020-2021
2019-2020
2018-2019